mp-541696-2/Cs2TlCl5/anharm

Equation of state

../../_images/fig_bm4776.png

(a) Equation of state

Harmonic properties

../../_images/fig_bandos_pr9547.png

(a) Phonon dispersion with participation ratio and DOS

../../_images/fig_thermo9547.png

(b) Thermodynamic properties

Grüneisen parameters

../../_images/fig_gru_all3806.png

(a) Grüneisen parameters

../../_images/fig_gruneisen3806.png

(b) Phonon dispersion with Grüneisen parameters

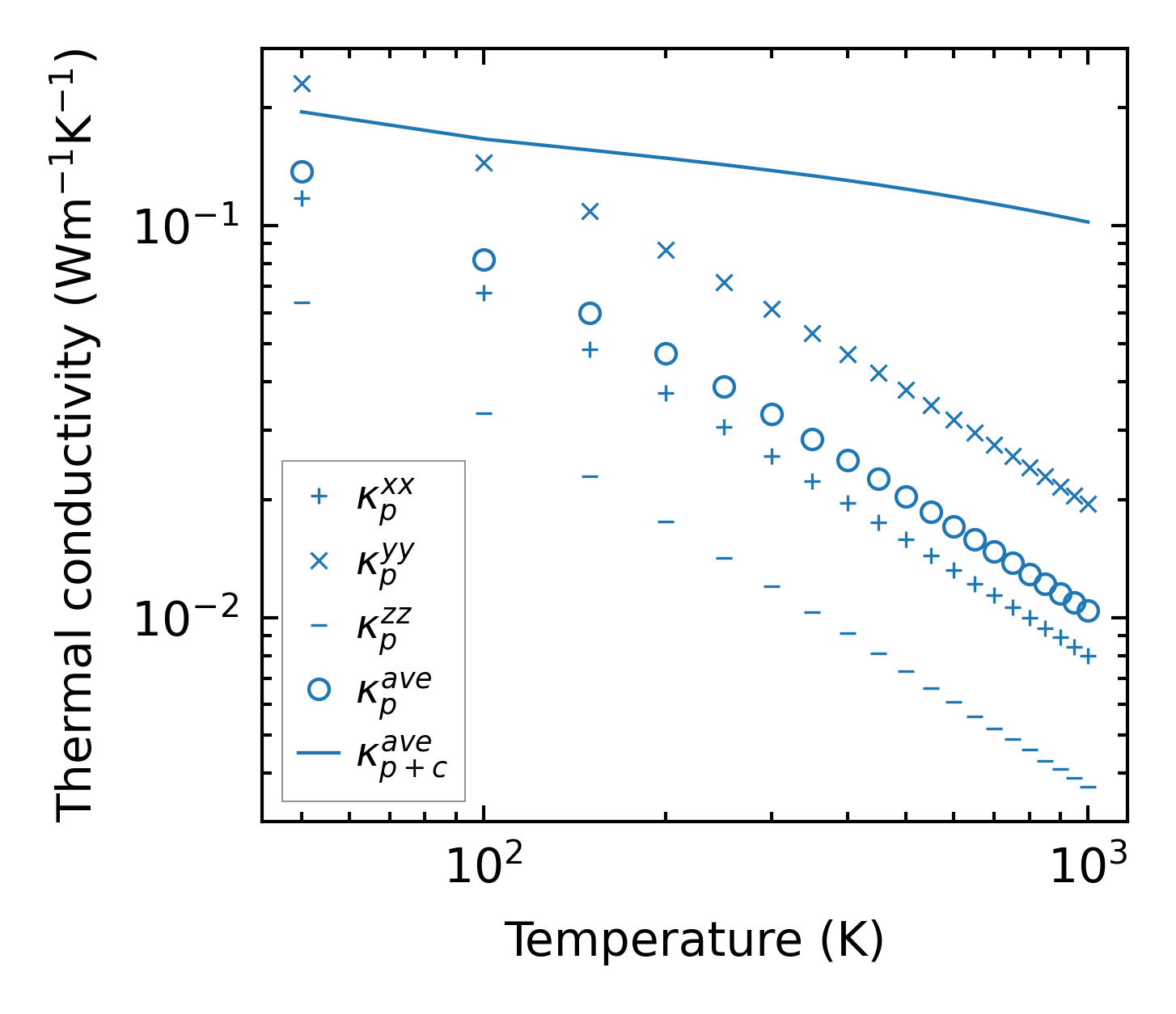
Thermal conductivity

3-phonon (LASSO) — q-mesh: 7x9x4, supercell: 2x2x1

../../_images/fig_kappa7178.png

(a) Temperature-dependent lattice thermal conductivity

../../_images/fig_kappa_vs_grain_size3855.png

(b) Peierls lattice thermal conductivity w.r.t grain size

Phonon lifetime and scattering rates

../../_images/fig_lifetime3771.png

(a) Phonon lifetime due to phonon-phonon scattering

../../_images/fig_scat_rates3770.png

(b) Phonon scattering rates

Cumulative and spectral thermal conductivity

../../_images/fig_cumu_frequency3771.png

(a) Spectral and cumulative thermal conductivity w.r.t frequency

../../_images/fig_cumu_mfp3770.png

(b) Spectral and cumulative thermal conductivity w.r.t MFP

Force constants

../../_images/fig_fc29308.png

(a) Force constants w.r.t atomic distance

Summary

../../_images/fig_kappa7179.png

(a) Temperature-dependent lattice thermal conductivity

../../_images/fig_times16615.png

(b) Computation time