mp-541619/Na2TeO3/anharm

Harmonic properties

../../_images/fig_bandos_pr9532.png

(a) Phonon dispersion with participation ratio and DOS

../../_images/fig_thermo9532.png

(b) Thermodynamic properties

Grüneisen parameters

../../_images/fig_gru_all3795.png

(a) Grüneisen parameters

../../_images/fig_gruneisen3795.png

(b) Phonon dispersion with Grüneisen parameters

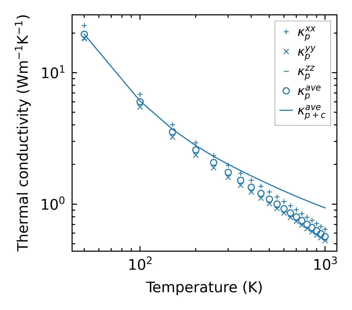
Thermal conductivity

3-phonon (LASSO) — q-mesh: 14x7x10, supercell: 3x1x2

../../_images/fig_kappa7157.png

(a) Temperature-dependent lattice thermal conductivity

../../_images/fig_kappa_vs_grain_size3844.png

(b) Peierls lattice thermal conductivity w.r.t grain size

Phonon lifetime and scattering rates

../../_images/fig_lifetime3760.png

(a) Phonon lifetime due to phonon-phonon scattering

../../_images/fig_scat_rates3759.png

(b) Phonon scattering rates

Cumulative and spectral thermal conductivity

../../_images/fig_cumu_frequency3760.png

(a) Spectral and cumulative thermal conductivity w.r.t frequency

../../_images/fig_cumu_mfp3759.png

(b) Spectral and cumulative thermal conductivity w.r.t MFP

Force constants

../../_images/fig_fc29293.png

(a) Force constants w.r.t atomic distance

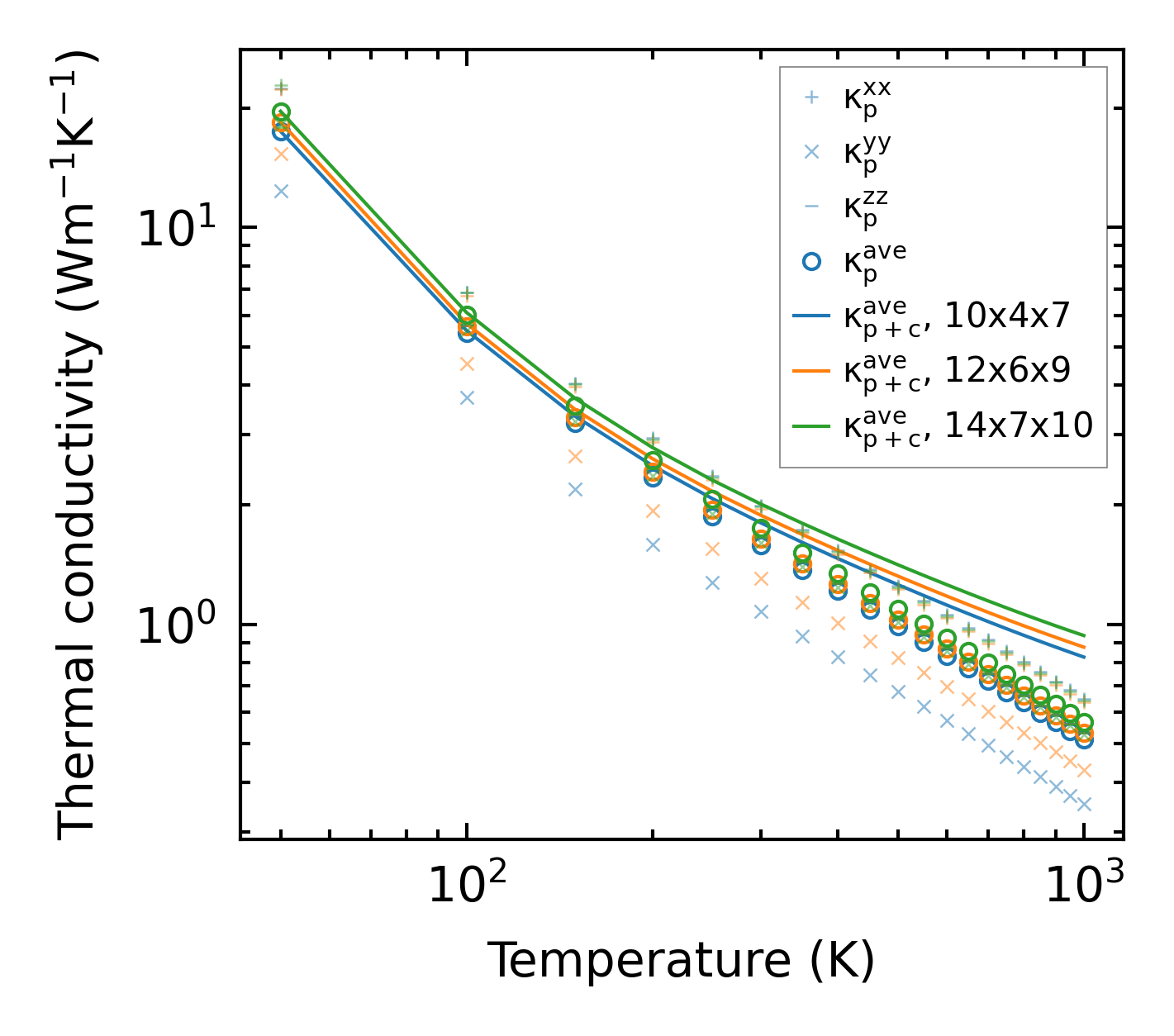
Summary

../../_images/fig_kappa7158.png

(a) Temperature-dependent lattice thermal conductivity

../../_images/fig_times16585.png

(b) Computation time