mp-541569-2/Sr2Li3TaN4/anharm

Equation of state

../../_images/fig_bm4763.png

(a) Equation of state

Harmonic properties

../../_images/fig_bandos_pr9526.png

(a) Phonon dispersion with participation ratio and DOS

../../_images/fig_thermo9526.png

(b) Thermodynamic properties

Grüneisen parameters

../../_images/fig_gru_all3792.png

(a) Grüneisen parameters

../../_images/fig_gruneisen3792.png

(b) Phonon dispersion with Grüneisen parameters

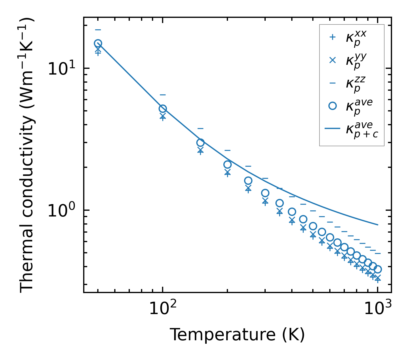
Thermal conductivity

3-phonon (LASSO) — q-mesh: 8x8x10, supercell: 1x1x2

../../_images/fig_kappa7151.png

(a) Temperature-dependent lattice thermal conductivity

../../_images/fig_kappa_vs_grain_size3841.png

(b) Peierls lattice thermal conductivity w.r.t grain size

Phonon lifetime and scattering rates

../../_images/fig_lifetime3757.png

(a) Phonon lifetime due to phonon-phonon scattering

../../_images/fig_scat_rates3756.png

(b) Phonon scattering rates

Cumulative and spectral thermal conductivity

../../_images/fig_cumu_frequency3757.png

(a) Spectral and cumulative thermal conductivity w.r.t frequency

../../_images/fig_cumu_mfp3756.png

(b) Spectral and cumulative thermal conductivity w.r.t MFP

Force constants

../../_images/fig_fc29287.png

(a) Force constants w.r.t atomic distance

Summary

../../_images/fig_kappa7152.png

(a) Temperature-dependent lattice thermal conductivity

../../_images/fig_times16573.png

(b) Computation time