mp-541204/As2S3N2F12/harm

Harmonic properties

../../_images/fig_bandos_pr9485.png

(a) Phonon dispersion with participation ratio and DOS

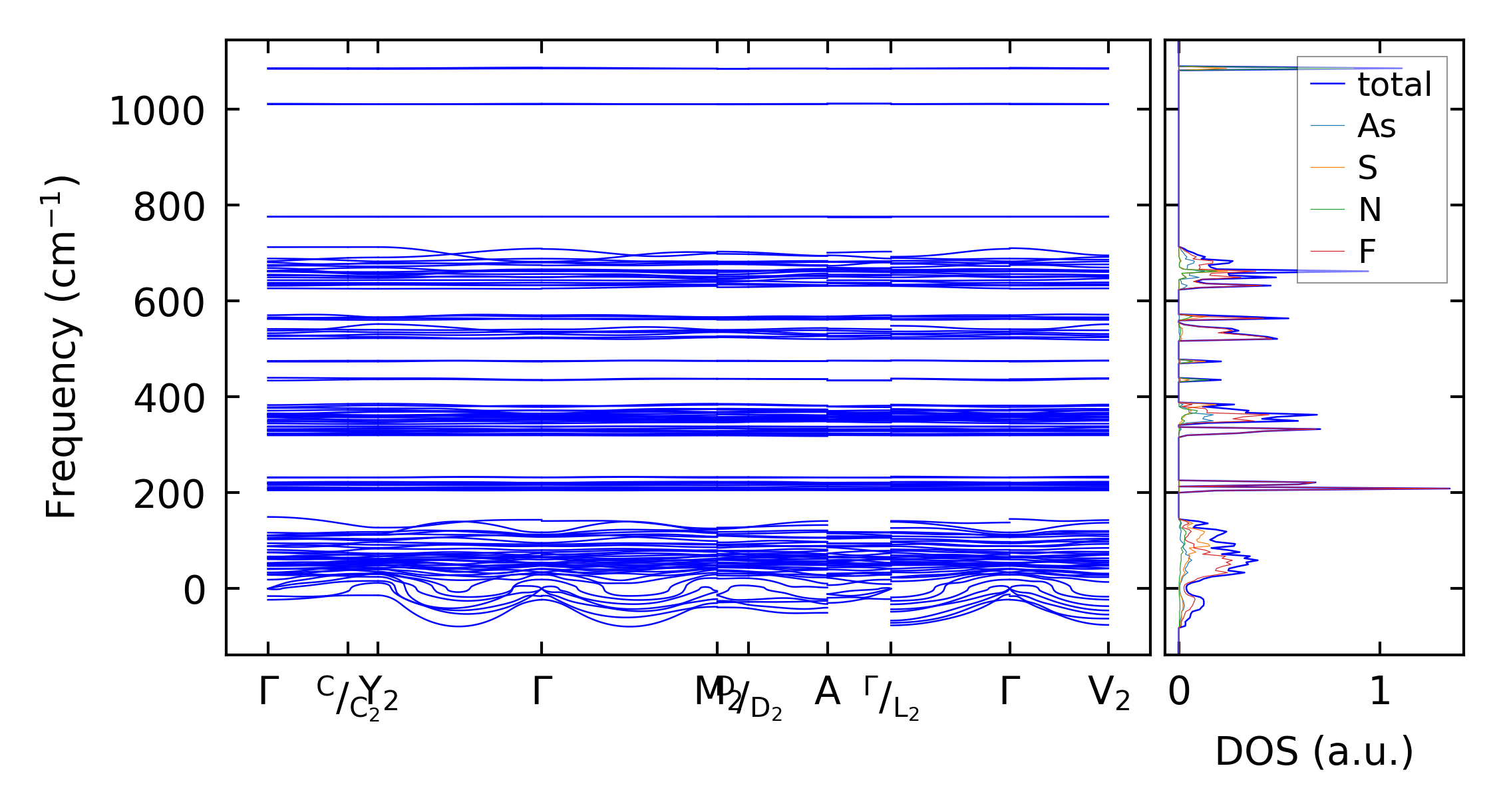
../../_images/fig_bandos13270.png

(b) Phonon dispersion and DOS

../../_images/fig_thermo9485.png

(c) Thermodynamic properties

Force constants

../../_images/fig_fc29246.png

(a) Force constants w.r.t atomic distance

Summary

../../_images/fig_times16497.png

(a) Computation time