mp-541738/Cs3Cr2I9/anharm

Equation of state

../../_images/fig_bm4780.png

(a) Equation of state

Harmonic properties

../../_images/fig_bandos_pr9555.png

(a) Phonon dispersion with participation ratio and DOS

../../_images/fig_thermo9555.png

(b) Thermodynamic properties

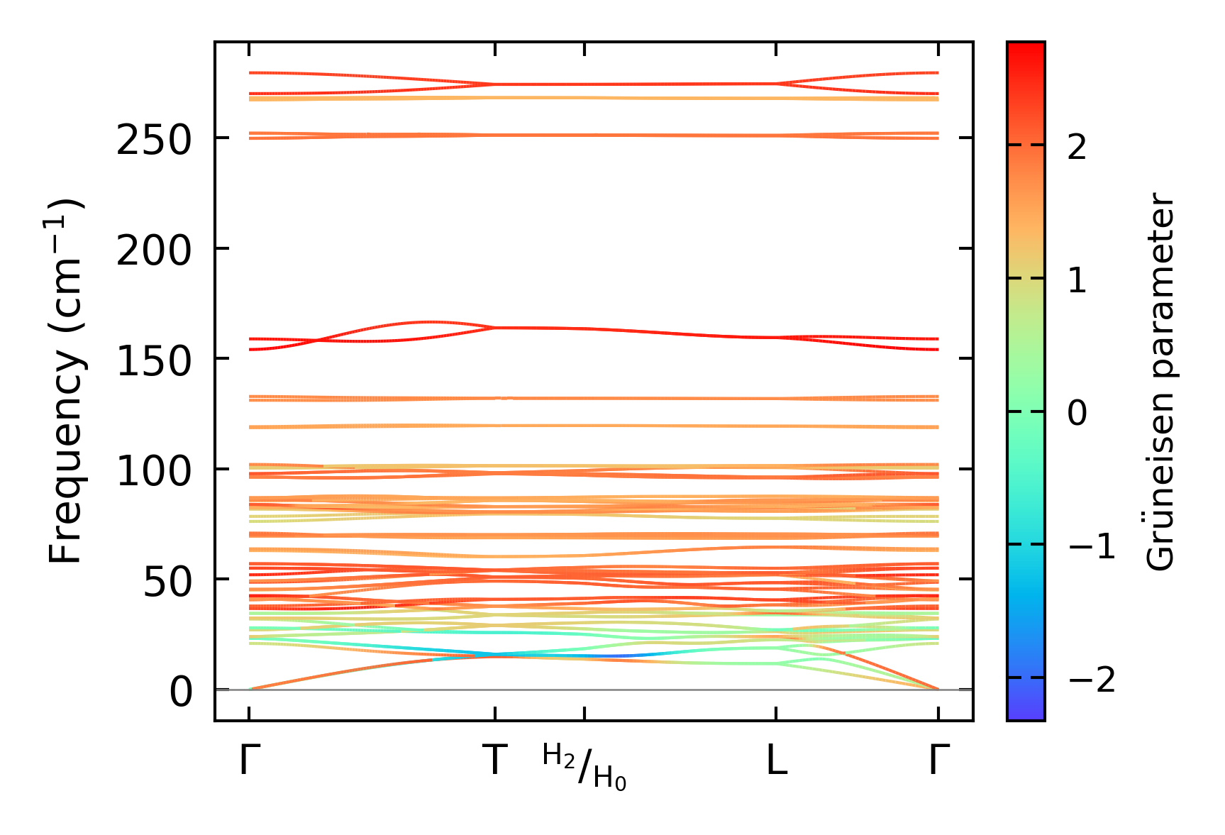
Grüneisen parameters

../../_images/fig_gru_all3811.png

(a) Grüneisen parameters

../../_images/fig_gruneisen3811.png

(b) Phonon dispersion with Grüneisen parameters

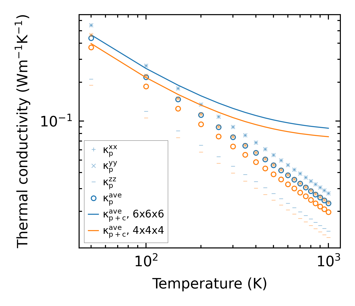
Thermal conductivity

3-phonon (LASSO) — q-mesh: 6x6x6, supercell: 1x1x1

../../_images/fig_kappa7187.png

(a) Temperature-dependent lattice thermal conductivity

../../_images/fig_kappa_vs_grain_size3860.png

(b) Peierls lattice thermal conductivity w.r.t grain size

Phonon lifetime and scattering rates

../../_images/fig_lifetime3776.png

(a) Phonon lifetime due to phonon-phonon scattering

../../_images/fig_scat_rates3775.png

(b) Phonon scattering rates

Cumulative and spectral thermal conductivity

../../_images/fig_cumu_frequency3776.png

(a) Spectral and cumulative thermal conductivity w.r.t frequency

../../_images/fig_cumu_mfp3775.png

(b) Spectral and cumulative thermal conductivity w.r.t MFP

Force constants

../../_images/fig_fc29316.png

(a) Force constants w.r.t atomic distance

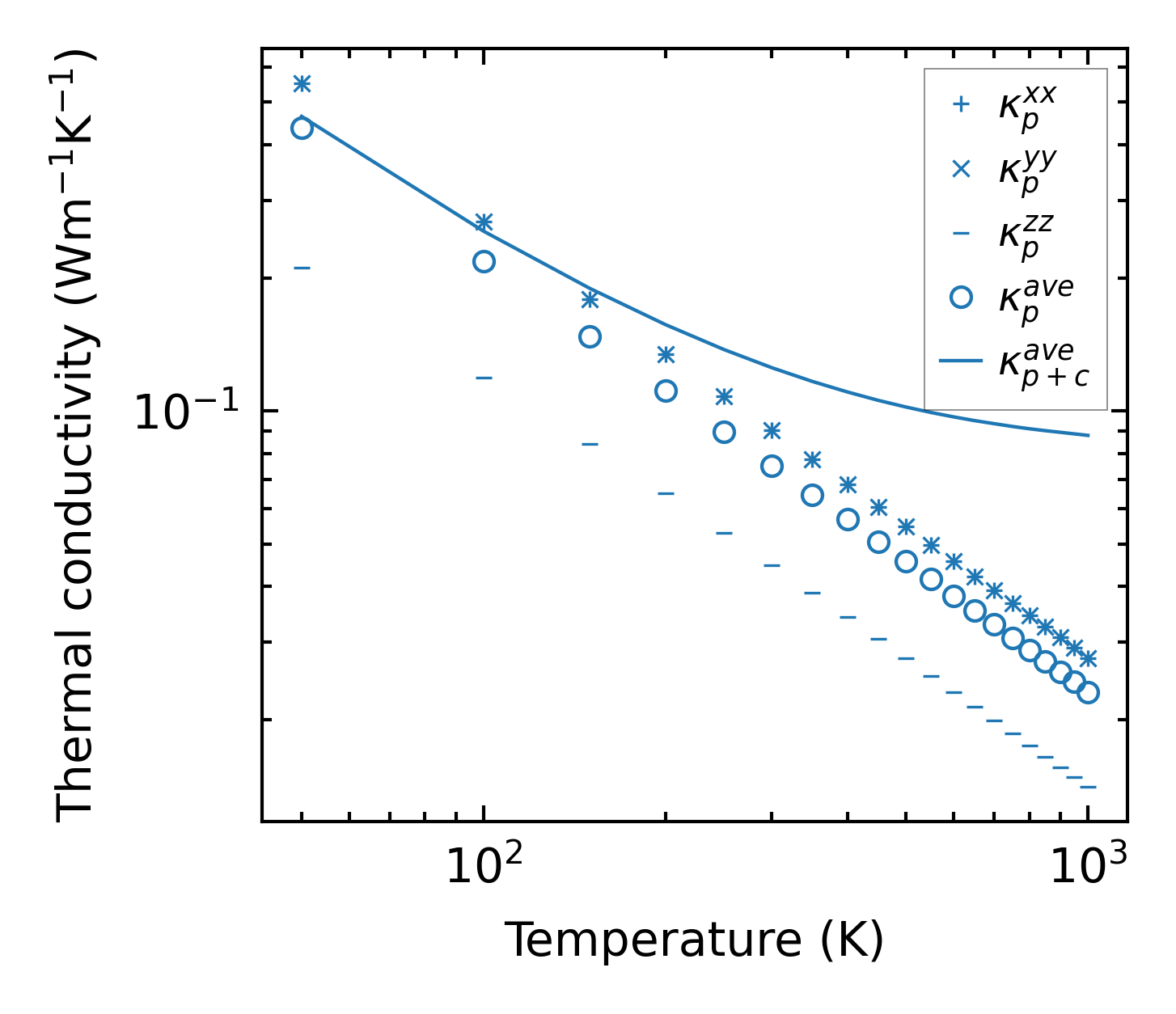
Summary

../../_images/fig_kappa7188.png

(a) Temperature-dependent lattice thermal conductivity

../../_images/fig_times16626.png

(b) Computation time