mp-541915-2/K2AgAs3Se6/anharm

Equation of state

../../_images/fig_bm4790.png

(a) Equation of state

Harmonic properties

../../_images/fig_bandos_pr9583.png

(a) Phonon dispersion with participation ratio and DOS

../../_images/fig_thermo9583.png

(b) Thermodynamic properties

Grüneisen parameters

../../_images/fig_gru_all3830.png

(a) Grüneisen parameters

../../_images/fig_gruneisen3830.png

(b) Phonon dispersion with Grüneisen parameters

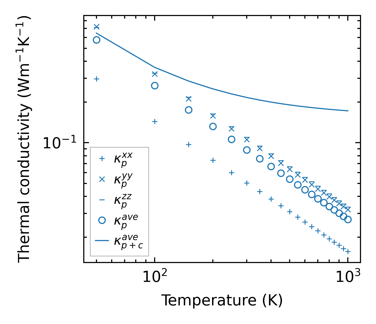
Thermal conductivity

3-phonon (LASSO) — q-mesh: 6x10x4, supercell: 1x2x1

../../_images/fig_kappa7223.png

(a) Temperature-dependent lattice thermal conductivity

../../_images/fig_kappa_vs_grain_size3879.png

(b) Peierls lattice thermal conductivity w.r.t grain size

Phonon lifetime and scattering rates

../../_images/fig_lifetime3795.png

(a) Phonon lifetime due to phonon-phonon scattering

../../_images/fig_scat_rates3794.png

(b) Phonon scattering rates

Cumulative and spectral thermal conductivity

../../_images/fig_cumu_frequency3795.png

(a) Spectral and cumulative thermal conductivity w.r.t frequency

../../_images/fig_cumu_mfp3794.png

(b) Spectral and cumulative thermal conductivity w.r.t MFP

Force constants

../../_images/fig_fc29344.png

(a) Force constants w.r.t atomic distance

Summary

../../_images/fig_kappa7224.png

(a) Temperature-dependent lattice thermal conductivity

../../_images/fig_times16668.png

(b) Computation time