mp-541158/Nb3SI7/anharm

Harmonic properties

../../_images/fig_bandos_pr9481.png

(a) Phonon dispersion with participation ratio and DOS

../../_images/fig_thermo9481.png

(b) Thermodynamic properties

Grüneisen parameters

../../_images/fig_gru_all3771.png

(a) Grüneisen parameters

../../_images/fig_gruneisen3771.png

(b) Phonon dispersion with Grüneisen parameters

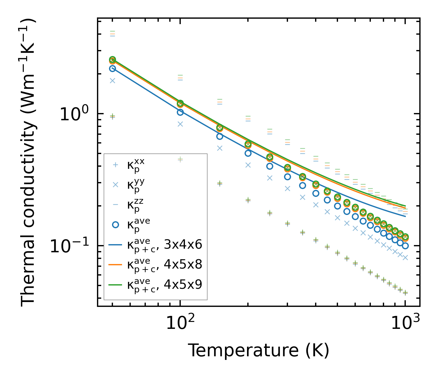
Thermal conductivity

3-phonon (LASSO) — q-mesh: 4x5x9, supercell: 1x1x2

../../_images/fig_kappa7118.png

(a) Temperature-dependent lattice thermal conductivity

../../_images/fig_kappa_vs_grain_size3820.png

(b) Peierls lattice thermal conductivity w.r.t grain size

Phonon lifetime and scattering rates

../../_images/fig_lifetime3736.png

(a) Phonon lifetime due to phonon-phonon scattering

../../_images/fig_scat_rates3735.png

(b) Phonon scattering rates

Cumulative and spectral thermal conductivity

../../_images/fig_cumu_frequency3736.png

(a) Spectral and cumulative thermal conductivity w.r.t frequency

../../_images/fig_cumu_mfp3735.png

(b) Spectral and cumulative thermal conductivity w.r.t MFP

Force constants

../../_images/fig_fc29242.png

(a) Force constants w.r.t atomic distance

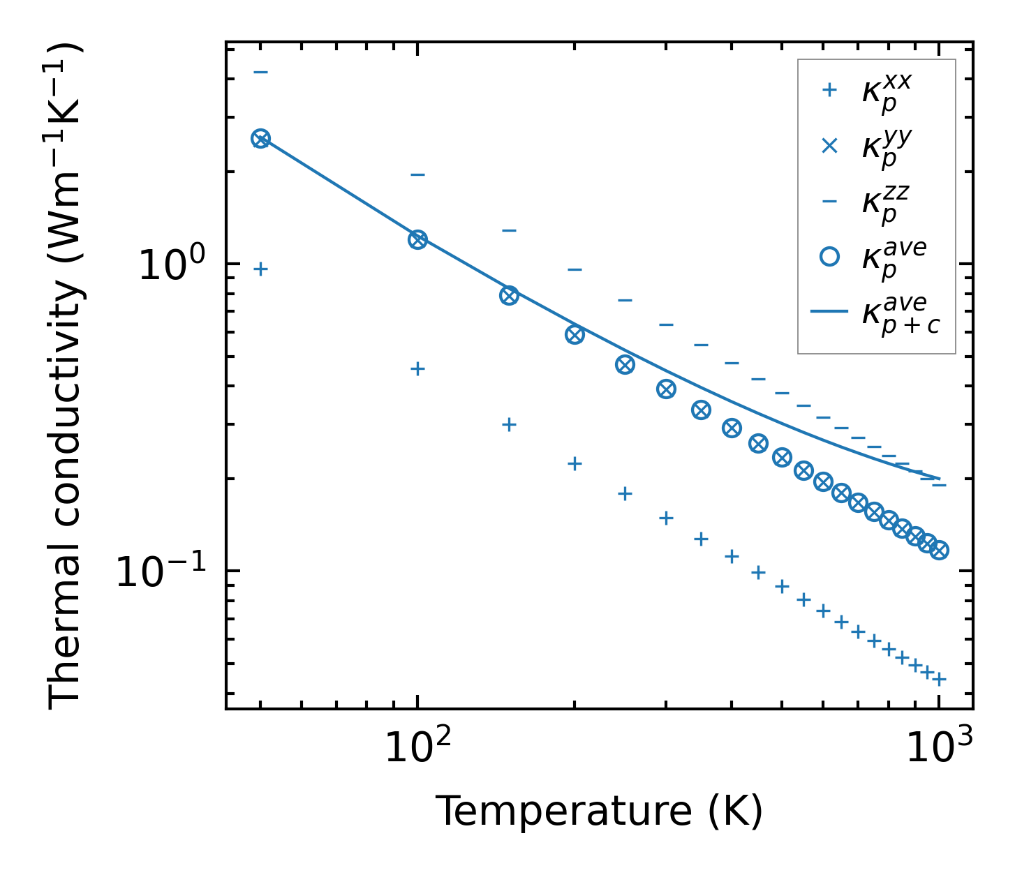
Summary

../../_images/fig_kappa7119.png

(a) Temperature-dependent lattice thermal conductivity

../../_images/fig_times16491.png

(b) Computation time