mp-541487/TlPt2Se3/anharm

Harmonic properties

../../_images/fig_bandos_pr9516.png

(a) Phonon dispersion with participation ratio and DOS

../../_images/fig_thermo9516.png

(b) Thermodynamic properties

Grüneisen parameters

../../_images/fig_gru_all3785.png

(a) Grüneisen parameters

../../_images/fig_gruneisen3785.png

(b) Phonon dispersion with Grüneisen parameters

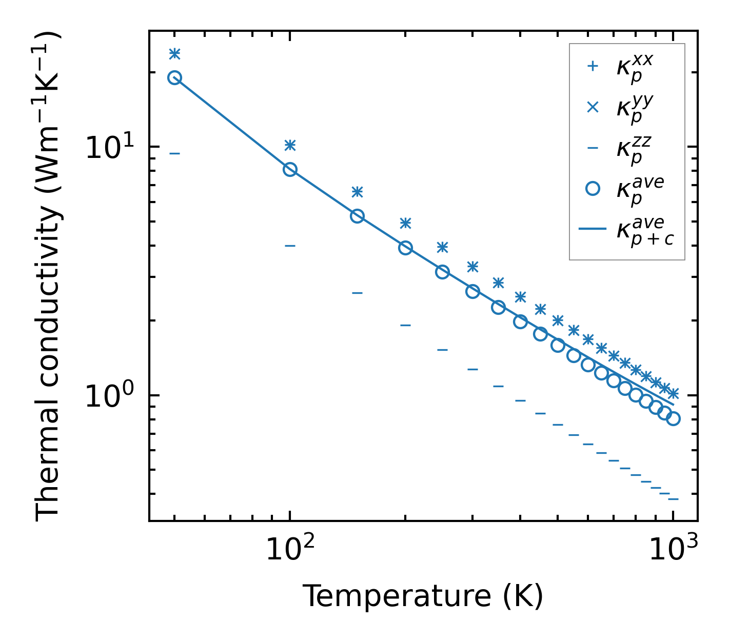
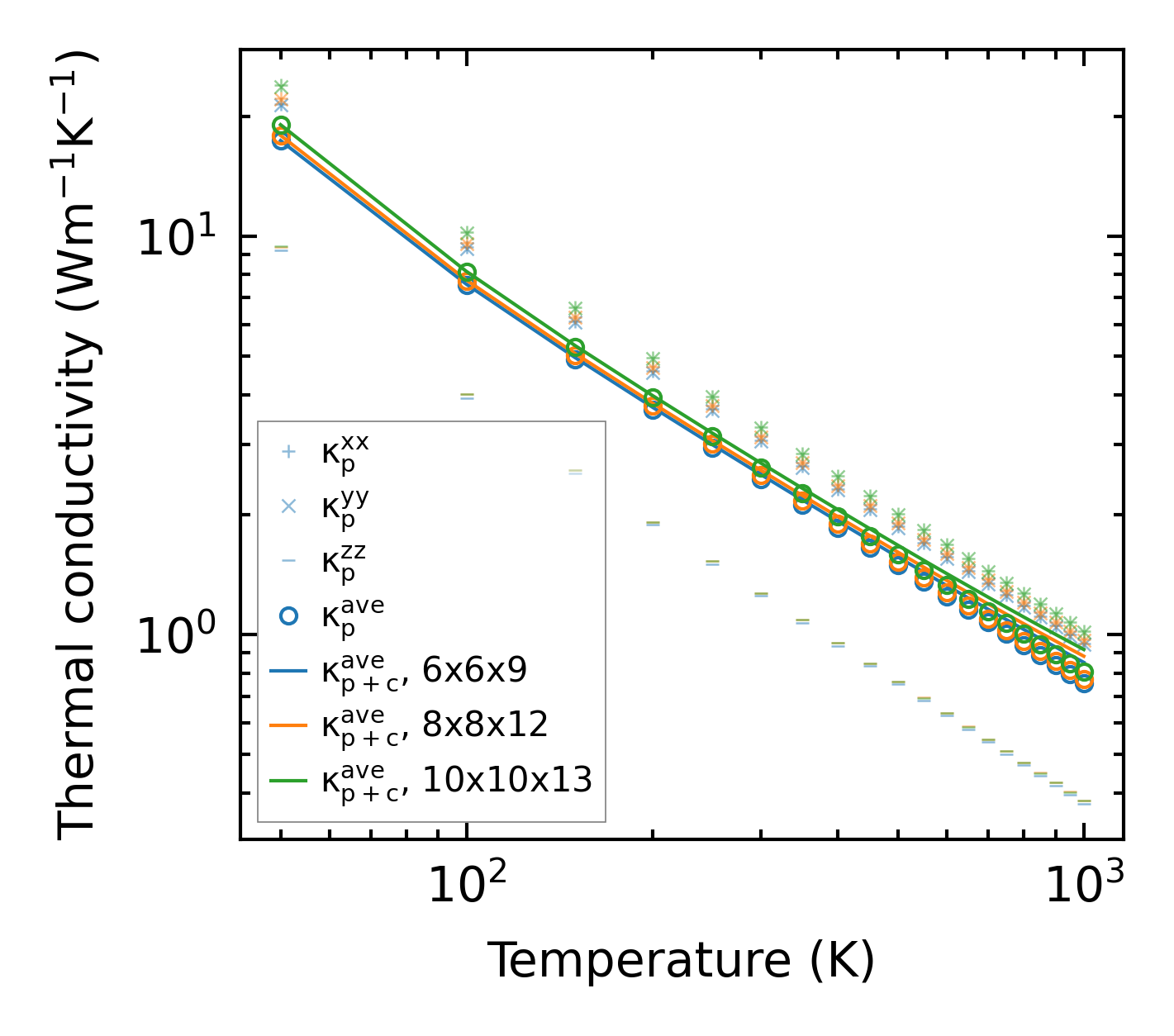
Thermal conductivity

3-phonon (LASSO) — q-mesh: 10x10x13, supercell: 2x2x3

../../_images/fig_kappa7137.png

(a) Temperature-dependent lattice thermal conductivity

../../_images/fig_kappa_vs_grain_size3834.png

(b) Peierls lattice thermal conductivity w.r.t grain size

Phonon lifetime and scattering rates

../../_images/fig_lifetime3750.png

(a) Phonon lifetime due to phonon-phonon scattering

../../_images/fig_scat_rates3749.png

(b) Phonon scattering rates

Cumulative and spectral thermal conductivity

../../_images/fig_cumu_frequency3750.png

(a) Spectral and cumulative thermal conductivity w.r.t frequency

../../_images/fig_cumu_mfp3749.png

(b) Spectral and cumulative thermal conductivity w.r.t MFP

Force constants

../../_images/fig_fc29277.png

(a) Force constants w.r.t atomic distance

Summary

../../_images/fig_kappa7138.png

(a) Temperature-dependent lattice thermal conductivity

../../_images/fig_times16558.png

(b) Computation time