mp-541044-2/CsYO2/anharm

Equation of state

../../_images/fig_bm4728.png

(a) Equation of state

Harmonic properties

../../_images/fig_bandos_pr9464.png

(a) Phonon dispersion with participation ratio and DOS

../../_images/fig_thermo9464.png

(b) Thermodynamic properties

Grüneisen parameters

../../_images/fig_gru_all3766.png

(a) Grüneisen parameters

../../_images/fig_gruneisen3766.png

(b) Phonon dispersion with Grüneisen parameters

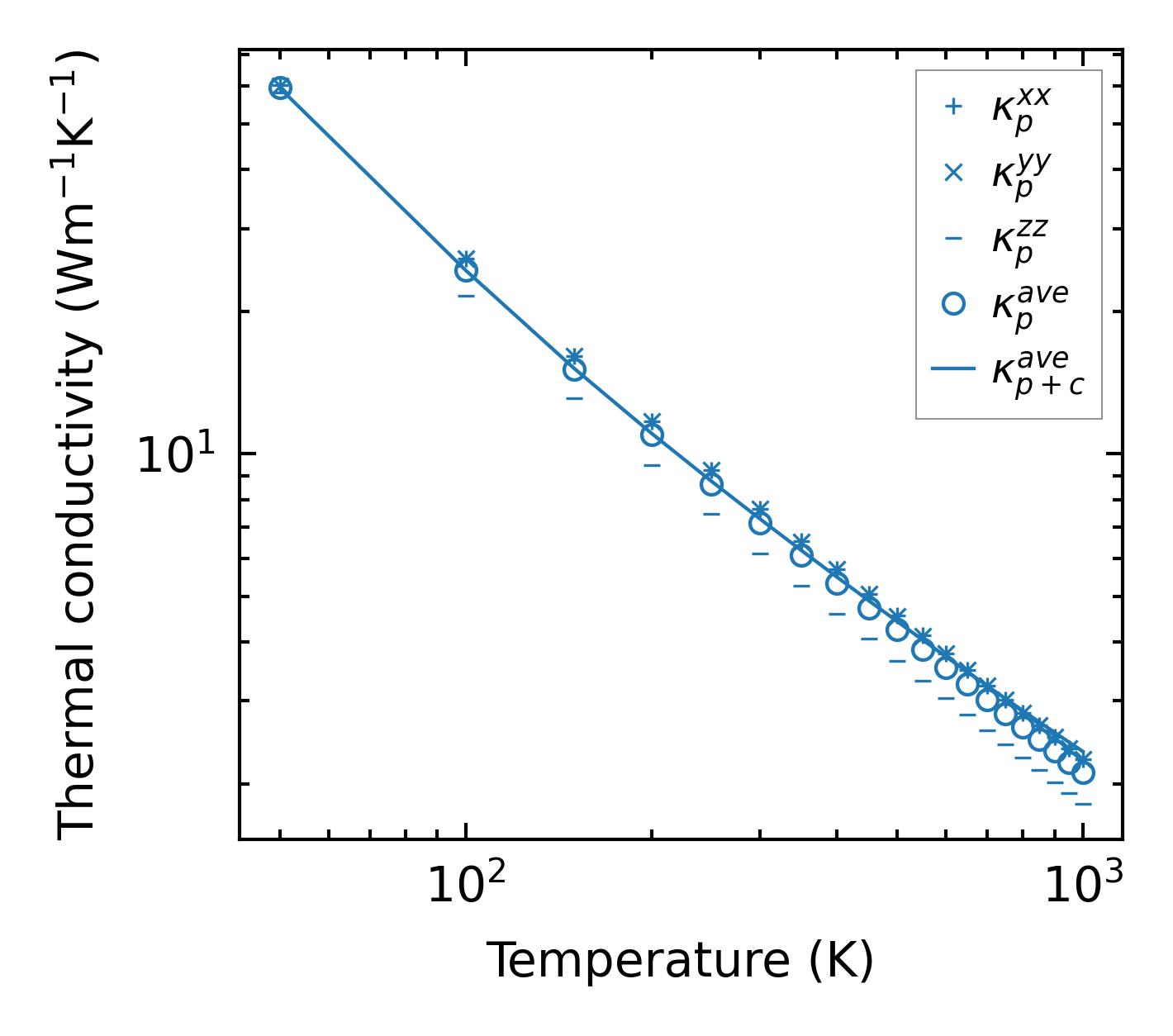
Thermal conductivity

3-phonon (LASSO) — q-mesh: 21x21x5, supercell: 4x4x1

../../_images/fig_kappa7109.png

(a) Temperature-dependent lattice thermal conductivity

../../_images/fig_kappa_vs_grain_size3815.png

(b) Peierls lattice thermal conductivity w.r.t grain size

Phonon lifetime and scattering rates

../../_images/fig_lifetime3731.png

(a) Phonon lifetime due to phonon-phonon scattering

../../_images/fig_scat_rates3730.png

(b) Phonon scattering rates

Cumulative and spectral thermal conductivity

../../_images/fig_cumu_frequency3731.png

(a) Spectral and cumulative thermal conductivity w.r.t frequency

../../_images/fig_cumu_mfp3730.png

(b) Spectral and cumulative thermal conductivity w.r.t MFP

Force constants

../../_images/fig_fc29225.png

(a) Force constants w.r.t atomic distance

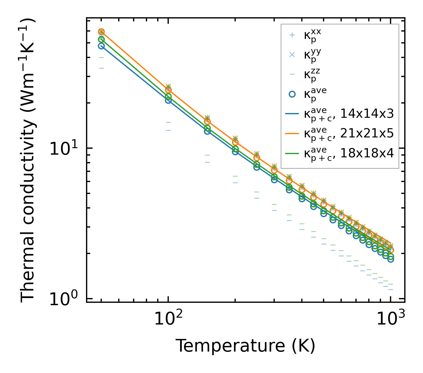
Summary

../../_images/fig_kappa7110.png

(a) Temperature-dependent lattice thermal conductivity

../../_images/fig_times16463.png

(b) Computation time