mp-541299-2/Zr4CdP6O24/anharm

Equation of state

../../_images/fig_bm4747.png

(a) Equation of state

Harmonic properties

../../_images/fig_bandos_pr9499.png

(a) Phonon dispersion with participation ratio and DOS

../../_images/fig_bandos13297.png

(b) Phonon dispersion and DOS

../../_images/fig_thermo9499.png

(c) Thermodynamic properties

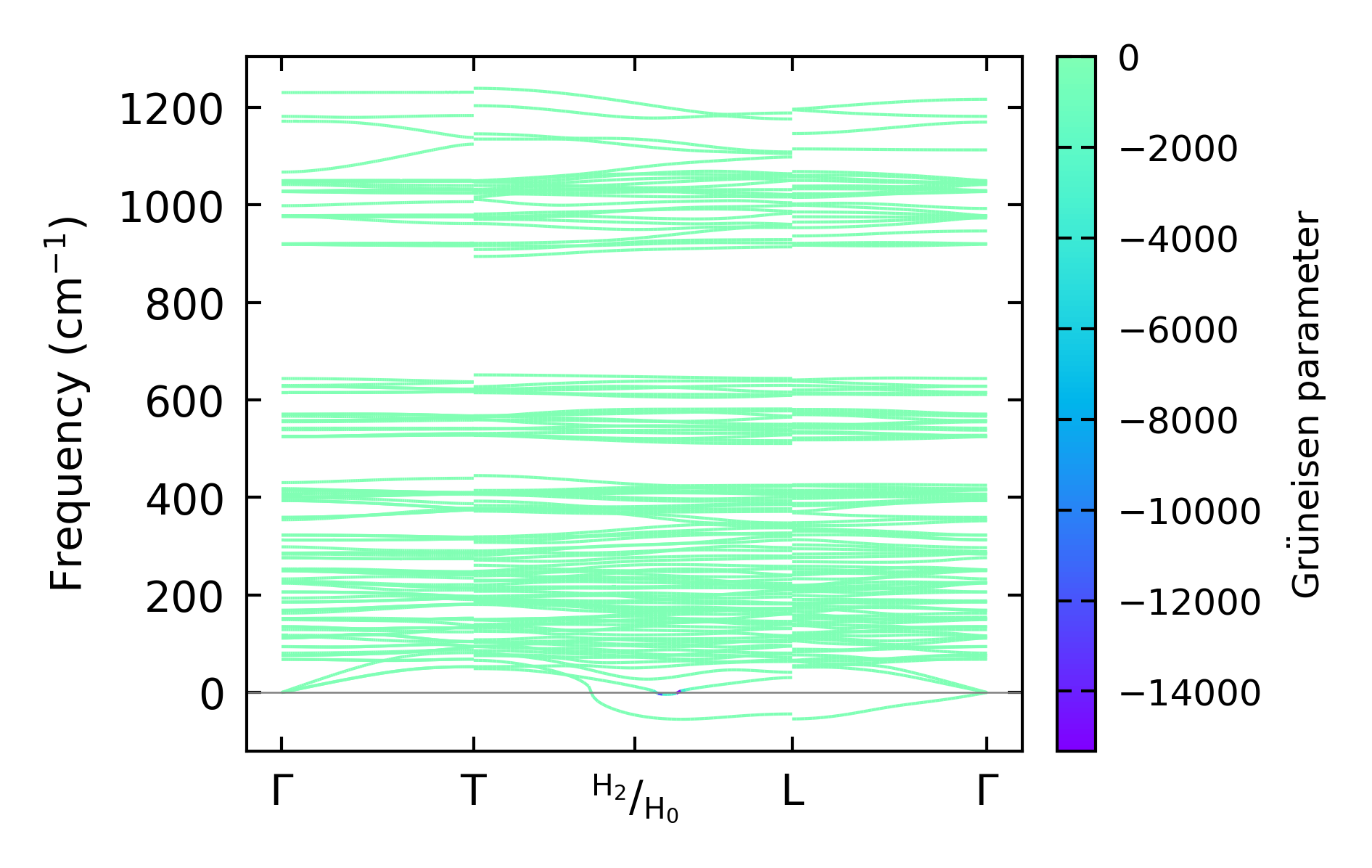
Grüneisen parameters

../../_images/fig_gru_all3778.png

(a) Grüneisen parameters

../../_images/fig_gruneisen3778.png

(b) Phonon dispersion with Grüneisen parameters

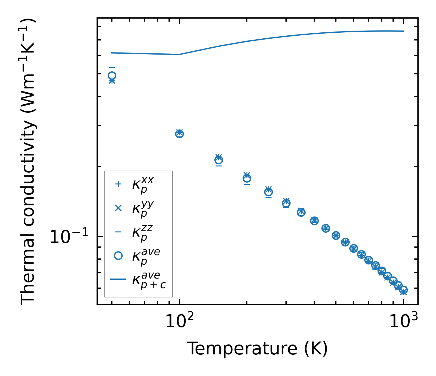
Thermal conductivity

3-phonon (LASSO), supercell 2x2x1 — q-mesh: 9x9x9, supercell: 2x2x1

../../_images/fig_kappa7127.png

(a) Temperature-dependent lattice thermal conductivity

../../_images/fig_kappa_vs_grain_size3827.png

(b) Peierls lattice thermal conductivity w.r.t grain size

Phonon lifetime and scattering rates

../../_images/fig_lifetime3743.png

(a) Phonon lifetime due to phonon-phonon scattering

../../_images/fig_scat_rates3742.png

(b) Phonon scattering rates

Cumulative and spectral thermal conductivity

../../_images/fig_cumu_frequency3743.png

(a) Spectral and cumulative thermal conductivity w.r.t frequency

../../_images/fig_cumu_mfp3742.png

(b) Spectral and cumulative thermal conductivity w.r.t MFP

Force constants

../../_images/fig_fc29260.png

(a) Force constants w.r.t atomic distance

Summary

../../_images/fig_times16525.png

(a) Computation time