mp-541272-2/LiGe2P3O12/anharm

Equation of state

../../_images/fig_bm4741.png

(a) Equation of state

Harmonic properties

../../_images/fig_bandos_pr9492.png

(a) Phonon dispersion with participation ratio and DOS

../../_images/fig_bandos13283.png

(b) Phonon dispersion and DOS

../../_images/fig_thermo9492.png

(c) Thermodynamic properties

Grüneisen parameters

../../_images/fig_gru_all3774.png

(a) Grüneisen parameters

../../_images/fig_gruneisen3774.png

(b) Phonon dispersion with Grüneisen parameters

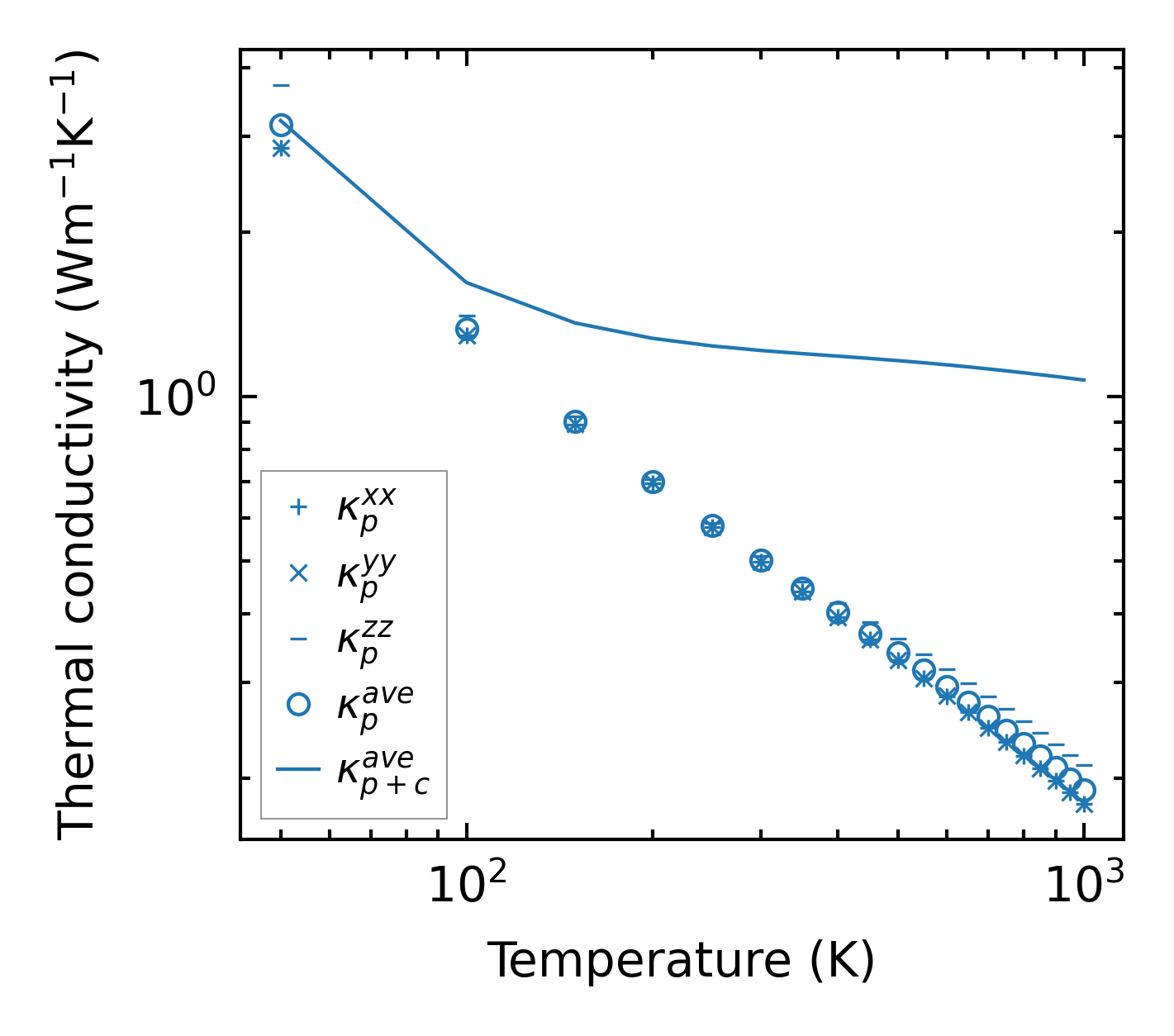
Thermal conductivity

3-phonon (LASSO), supercell 2x2x1 — q-mesh: 9x9x9, supercell: 2x2x1

../../_images/fig_kappa7123.png

(a) Temperature-dependent lattice thermal conductivity

../../_images/fig_kappa_vs_grain_size3823.png

(b) Peierls lattice thermal conductivity w.r.t grain size

Phonon lifetime and scattering rates

../../_images/fig_lifetime3739.png

(a) Phonon lifetime due to phonon-phonon scattering

../../_images/fig_scat_rates3738.png

(b) Phonon scattering rates

Cumulative and spectral thermal conductivity

../../_images/fig_cumu_frequency3739.png

(a) Spectral and cumulative thermal conductivity w.r.t frequency

../../_images/fig_cumu_mfp3738.png

(b) Spectral and cumulative thermal conductivity w.r.t MFP

Force constants

../../_images/fig_fc29253.png

(a) Force constants w.r.t atomic distance

Summary

../../_images/fig_times16511.png

(a) Computation time