mp-541582/ReSe2/anharm

Harmonic properties

../../_images/fig_bandos_pr9529.png

(a) Phonon dispersion with participation ratio and DOS

../../_images/fig_thermo9529.png

(b) Thermodynamic properties

Grüneisen parameters

../../_images/fig_gru_all3794.png

(a) Grüneisen parameters

../../_images/fig_gruneisen3794.png

(b) Phonon dispersion with Grüneisen parameters

Thermal conductivity

3-phonon (LASSO) — q-mesh: 11x11x11, supercell: 3x2x2

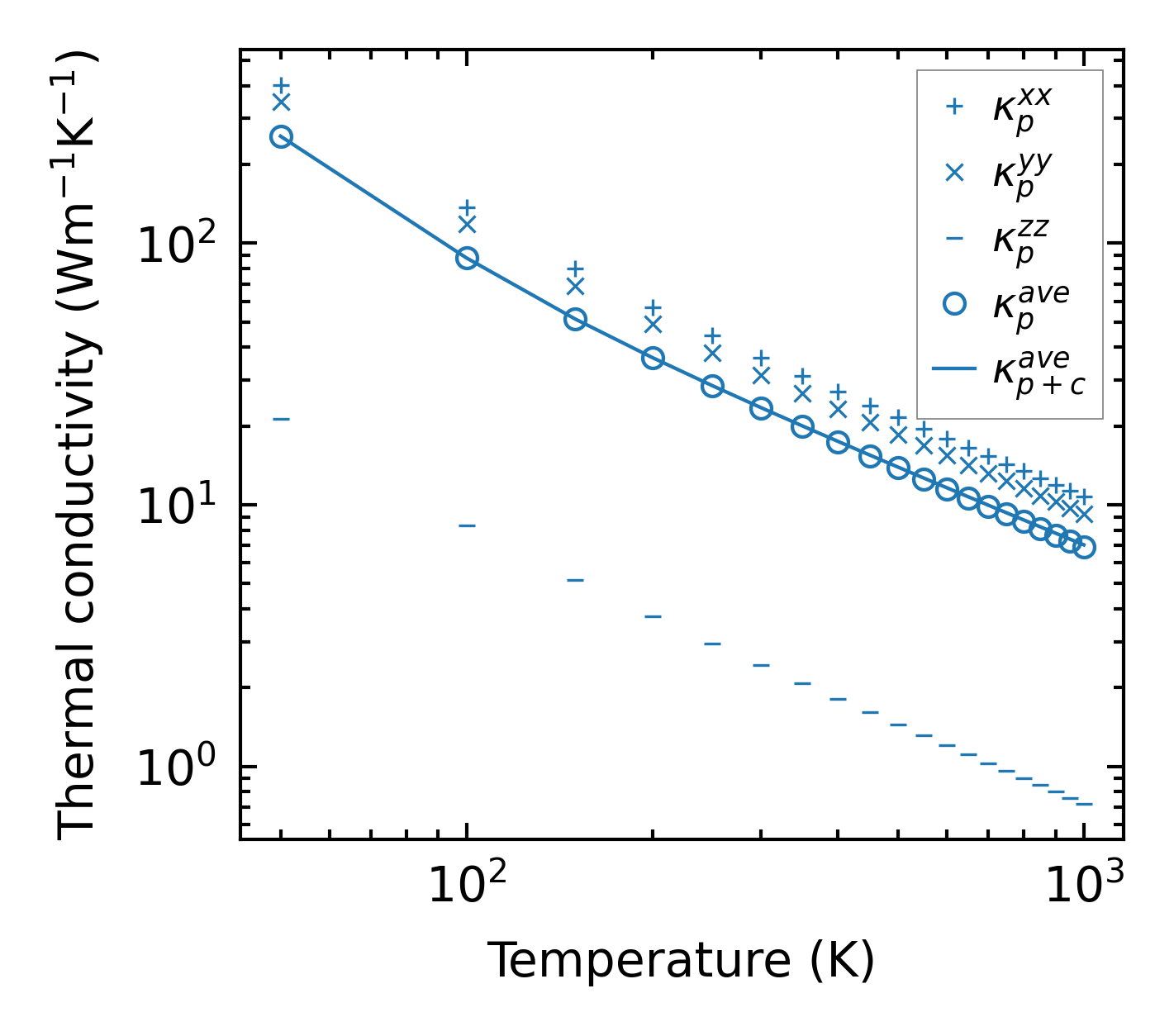
../../_images/fig_kappa7155.png

(a) Temperature-dependent lattice thermal conductivity

../../_images/fig_kappa_vs_grain_size3843.png

(b) Peierls lattice thermal conductivity w.r.t grain size

Phonon lifetime and scattering rates

../../_images/fig_lifetime3759.png

(a) Phonon lifetime due to phonon-phonon scattering

../../_images/fig_scat_rates3758.png

(b) Phonon scattering rates

Cumulative and spectral thermal conductivity

../../_images/fig_cumu_frequency3759.png

(a) Spectral and cumulative thermal conductivity w.r.t frequency

../../_images/fig_cumu_mfp3758.png

(b) Spectral and cumulative thermal conductivity w.r.t MFP

Force constants

../../_images/fig_fc29290.png

(a) Force constants w.r.t atomic distance

Summary

../../_images/fig_kappa7156.png

(a) Temperature-dependent lattice thermal conductivity

../../_images/fig_times16577.png

(b) Computation time