mp-541141/K3IrCl6/anharm

Harmonic properties

../../_images/fig_bandos_pr9478.png

(a) Phonon dispersion with participation ratio and DOS

../../_images/fig_thermo9478.png

(b) Thermodynamic properties

Grüneisen parameters

../../_images/fig_gru_all3770.png

(a) Grüneisen parameters

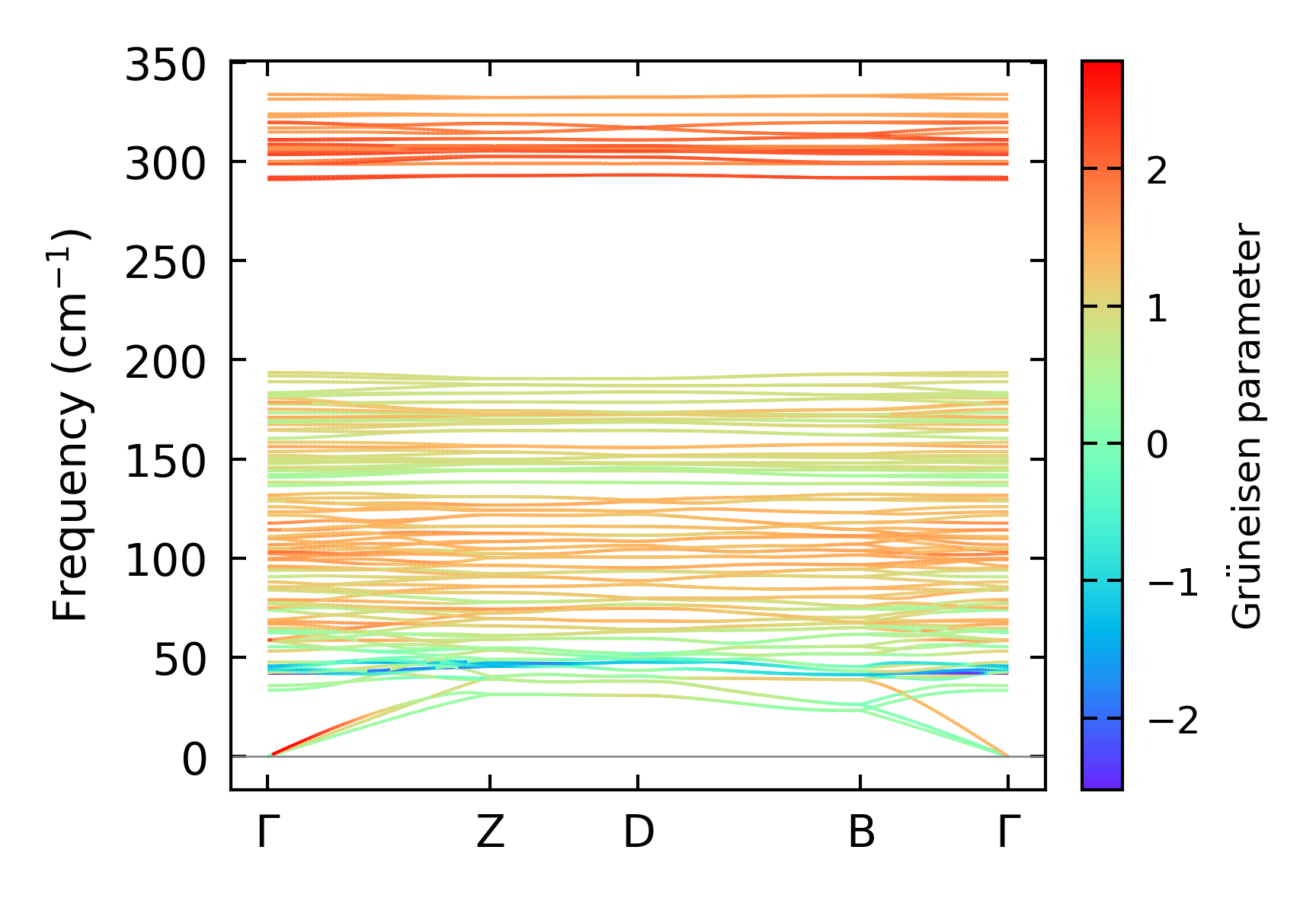
../../_images/fig_gruneisen3770.png

(b) Phonon dispersion with Grüneisen parameters

Thermal conductivity

3-phonon (LASSO) — q-mesh: 5x9x6, supercell: 1x2x1

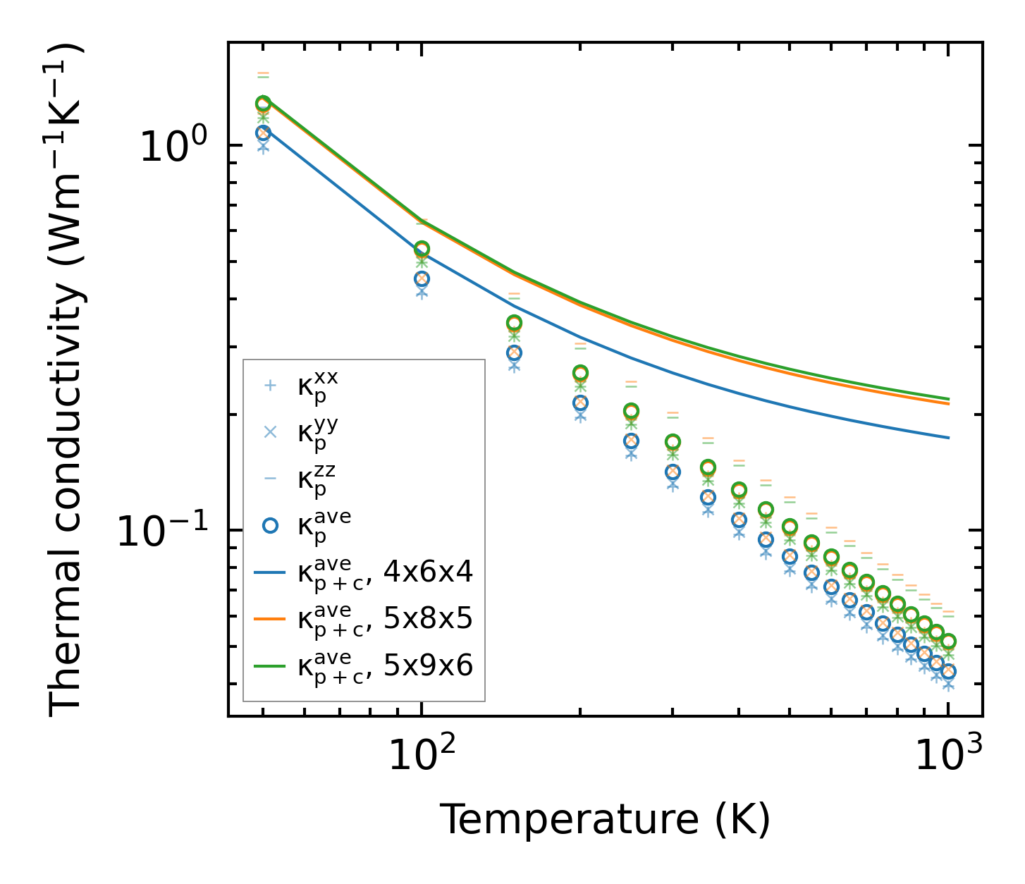
../../_images/fig_kappa7116.png

(a) Temperature-dependent lattice thermal conductivity

../../_images/fig_kappa_vs_grain_size3819.png

(b) Peierls lattice thermal conductivity w.r.t grain size

Phonon lifetime and scattering rates

../../_images/fig_lifetime3735.png

(a) Phonon lifetime due to phonon-phonon scattering

../../_images/fig_scat_rates3734.png

(b) Phonon scattering rates

Cumulative and spectral thermal conductivity

../../_images/fig_cumu_frequency3735.png

(a) Spectral and cumulative thermal conductivity w.r.t frequency

../../_images/fig_cumu_mfp3734.png

(b) Spectral and cumulative thermal conductivity w.r.t MFP

Force constants

../../_images/fig_fc29239.png

(a) Force constants w.r.t atomic distance

Summary

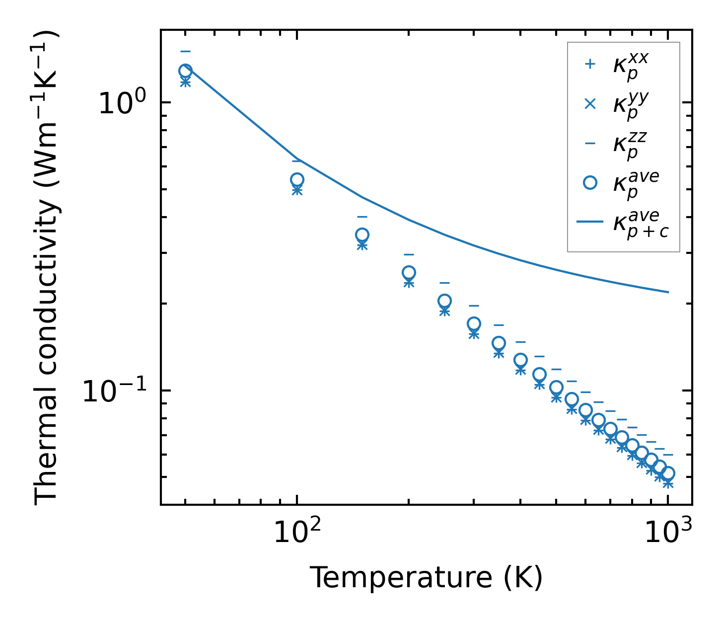
../../_images/fig_kappa7117.png

(a) Temperature-dependent lattice thermal conductivity

../../_images/fig_times16487.png

(b) Computation time