mp-541686-2/K3GaS3/anharm

Equation of state

../../_images/fig_bm4773.png

(a) Equation of state

Harmonic properties

../../_images/fig_bandos_pr9543.png

(a) Phonon dispersion with participation ratio and DOS

../../_images/fig_thermo9543.png

(b) Thermodynamic properties

Grüneisen parameters

../../_images/fig_gru_all3802.png

(a) Grüneisen parameters

../../_images/fig_gruneisen3802.png

(b) Phonon dispersion with Grüneisen parameters

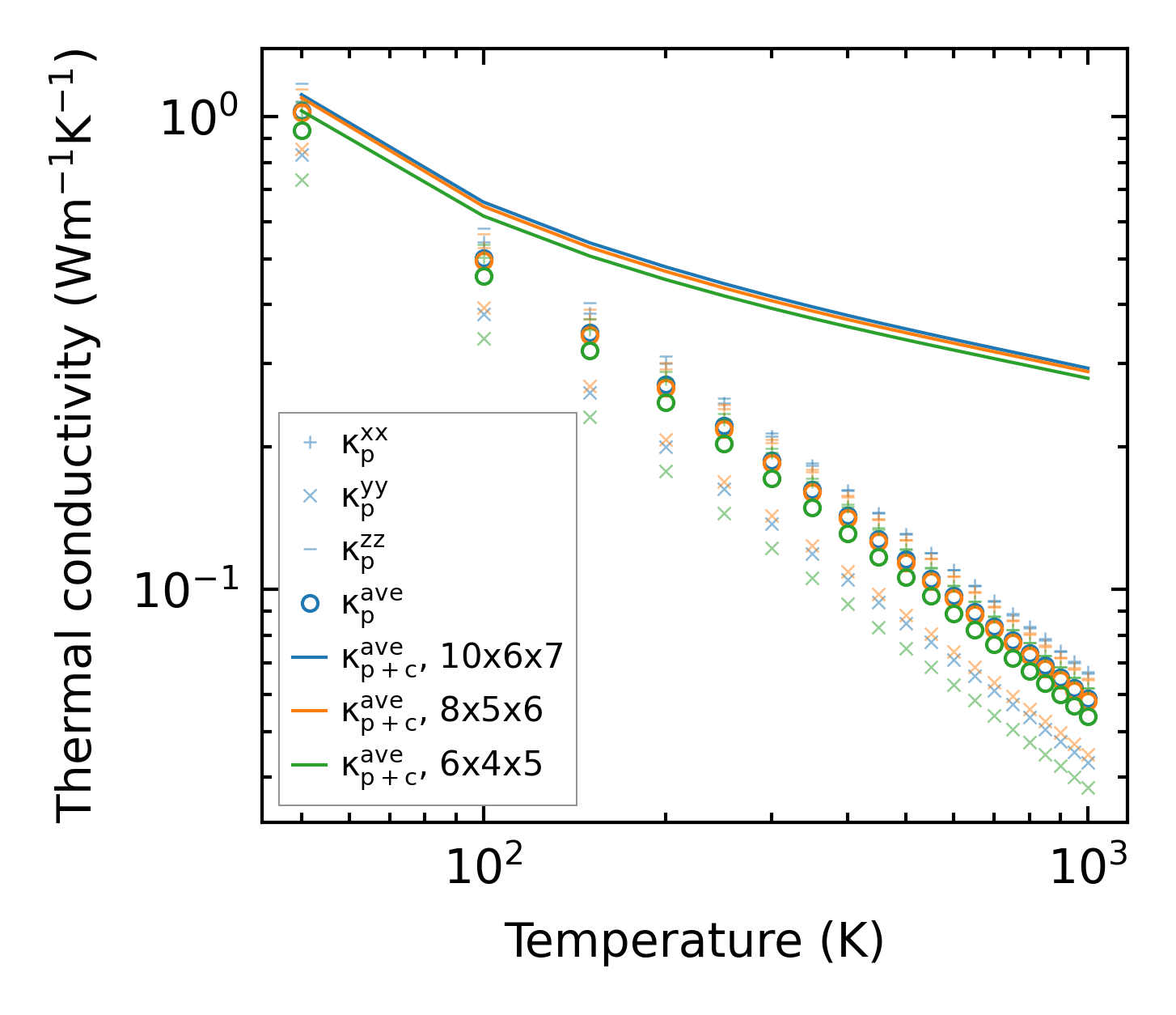
Thermal conductivity

3-phonon (LASSO) — q-mesh: 10x6x7, supercell: 2x1x2

../../_images/fig_kappa7170.png

(a) Temperature-dependent lattice thermal conductivity

../../_images/fig_kappa_vs_grain_size3851.png

(b) Peierls lattice thermal conductivity w.r.t grain size

Phonon lifetime and scattering rates

../../_images/fig_lifetime3767.png

(a) Phonon lifetime due to phonon-phonon scattering

../../_images/fig_scat_rates3766.png

(b) Phonon scattering rates

Cumulative and spectral thermal conductivity

../../_images/fig_cumu_frequency3767.png

(a) Spectral and cumulative thermal conductivity w.r.t frequency

../../_images/fig_cumu_mfp3766.png

(b) Spectral and cumulative thermal conductivity w.r.t MFP

Force constants

../../_images/fig_fc29304.png

(a) Force constants w.r.t atomic distance

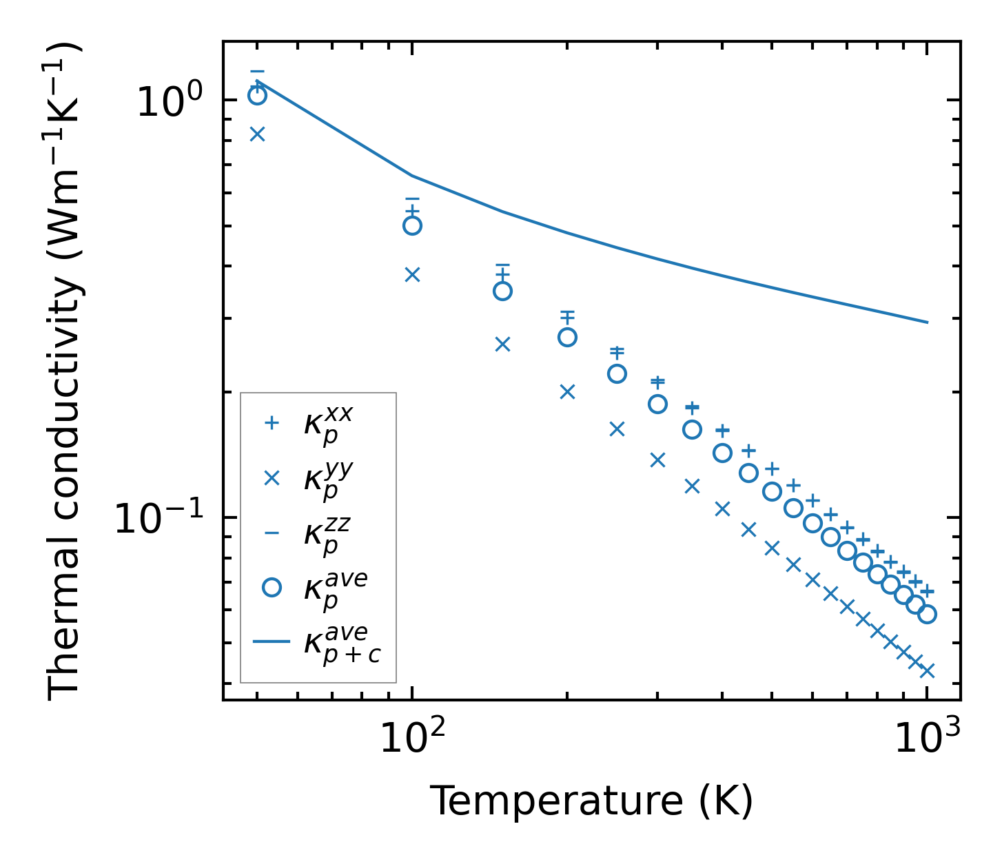
Summary

../../_images/fig_kappa7171.png

(a) Temperature-dependent lattice thermal conductivity

../../_images/fig_times16606.png

(b) Computation time