mp-541687-2/K3GaSe3/anharm

Equation of state

../../_images/fig_bm4774.png

(a) Equation of state

Harmonic properties

../../_images/fig_bandos_pr9544.png

(a) Phonon dispersion with participation ratio and DOS

../../_images/fig_thermo9544.png

(b) Thermodynamic properties

Grüneisen parameters

../../_images/fig_gru_all3803.png

(a) Grüneisen parameters

../../_images/fig_gruneisen3803.png

(b) Phonon dispersion with Grüneisen parameters

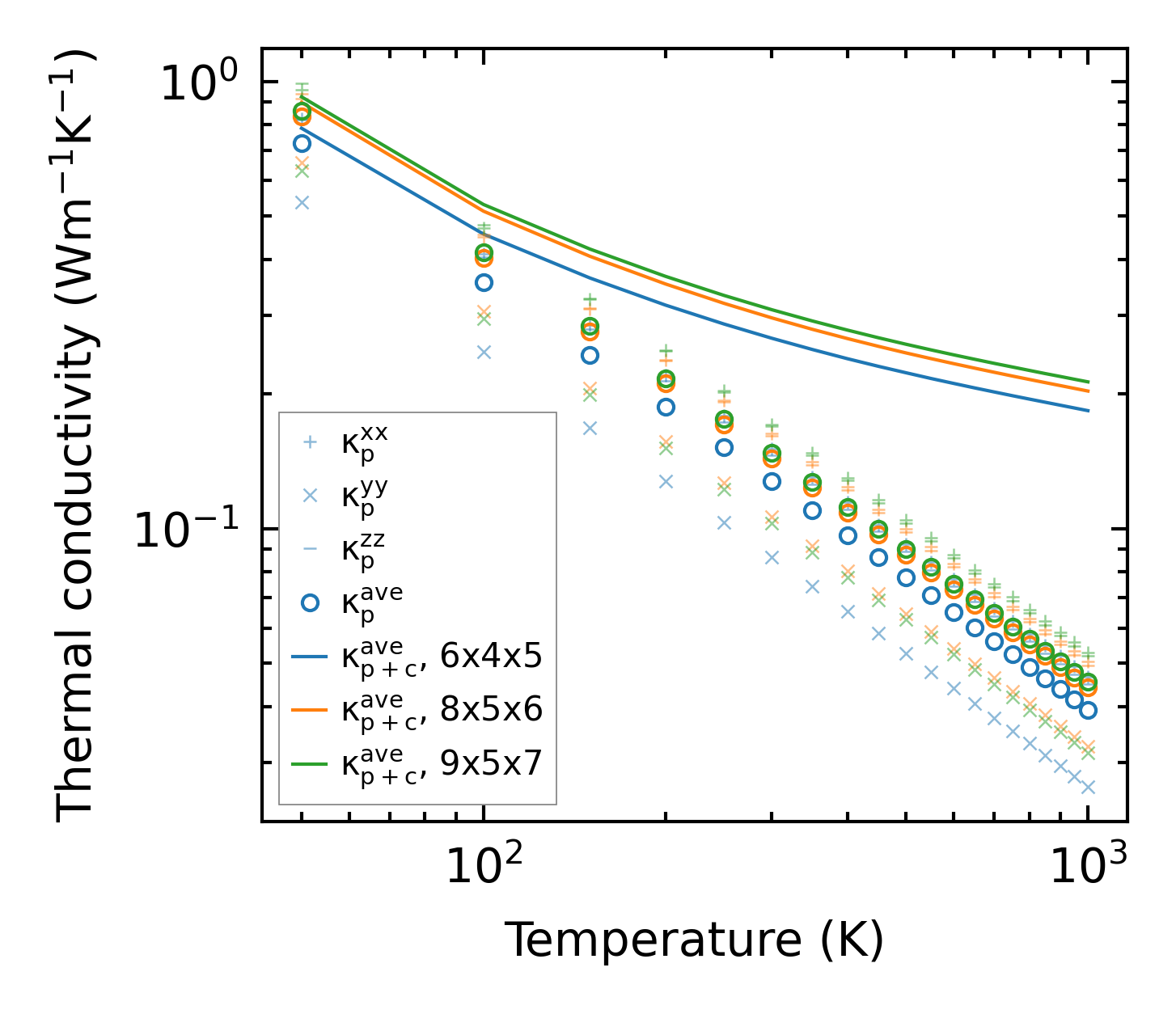
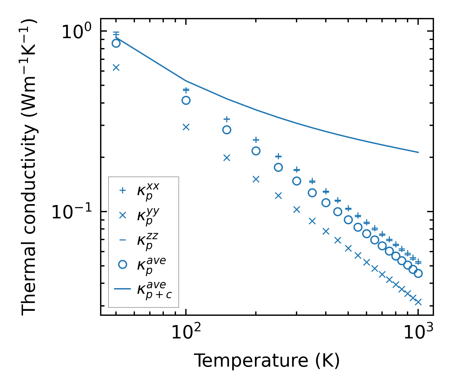
Thermal conductivity

3-phonon (LASSO) — q-mesh: 9x5x7, supercell: 2x1x2

../../_images/fig_kappa7172.png

(a) Temperature-dependent lattice thermal conductivity

../../_images/fig_kappa_vs_grain_size3852.png

(b) Peierls lattice thermal conductivity w.r.t grain size

Phonon lifetime and scattering rates

../../_images/fig_lifetime3768.png

(a) Phonon lifetime due to phonon-phonon scattering

../../_images/fig_scat_rates3767.png

(b) Phonon scattering rates

Cumulative and spectral thermal conductivity

../../_images/fig_cumu_frequency3768.png

(a) Spectral and cumulative thermal conductivity w.r.t frequency

../../_images/fig_cumu_mfp3767.png

(b) Spectral and cumulative thermal conductivity w.r.t MFP

Force constants

../../_images/fig_fc29305.png

(a) Force constants w.r.t atomic distance

Summary

../../_images/fig_kappa7173.png

(a) Temperature-dependent lattice thermal conductivity

../../_images/fig_times16608.png

(b) Computation time