mp-1078780/ZnCd3S4/anharm

Harmonic properties

../../_images/fig_bandos_pr16898.png

(a) Phonon dispersion with participation ratio and DOS

../../_images/fig_thermo16897.png

(b) Thermodynamic properties

Grüneisen parameters

../../_images/fig_gru_all7396.png

(a) Grüneisen parameters

../../_images/fig_gruneisen7396.png

(b) Phonon dispersion with Grüneisen parameters

Thermal conductivity

3-phonon (LASSO) — q-mesh: 12x12x12, supercell: 2x2x2

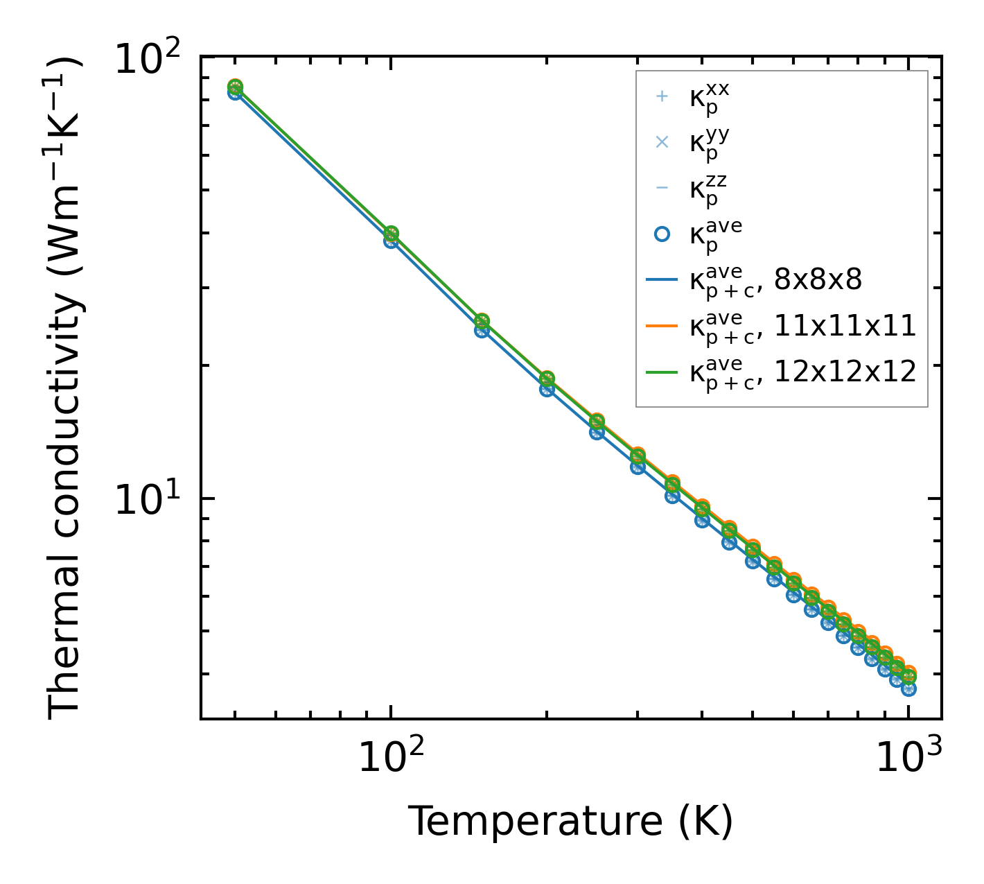
../../_images/fig_kappa13952.png

(a) Temperature-dependent lattice thermal conductivity

../../_images/fig_kappa_vs_grain_size7484.png

(b) Peierls lattice thermal conductivity w.r.t grain size

Phonon lifetime and scattering rates

../../_images/fig_lifetime7330.png

(a) Phonon lifetime due to phonon-phonon scattering

../../_images/fig_scat_rates7329.png

(b) Phonon scattering rates

Cumulative and spectral thermal conductivity

../../_images/fig_cumu_frequency7330.png

(a) Spectral and cumulative thermal conductivity w.r.t frequency

../../_images/fig_cumu_mfp7329.png

(b) Spectral and cumulative thermal conductivity w.r.t MFP

Force constants

../../_images/fig_fc216452.png

(a) Force constants w.r.t atomic distance

Summary

../../_images/fig_kappa13953.png

(a) Temperature-dependent lattice thermal conductivity

../../_images/fig_times27558.png

(b) Computation time