mp-1078630-2/Ba2ThCu2S5/anharm

Equation of state

../../_images/fig_bm7797.png

(a) Equation of state

Harmonic properties

../../_images/fig_bandos_pr16886.png

(a) Phonon dispersion with participation ratio and DOS

../../_images/fig_thermo16885.png

(b) Thermodynamic properties

Grüneisen parameters

../../_images/fig_gru_all7389.png

(a) Grüneisen parameters

../../_images/fig_gruneisen7389.png

(b) Phonon dispersion with Grüneisen parameters

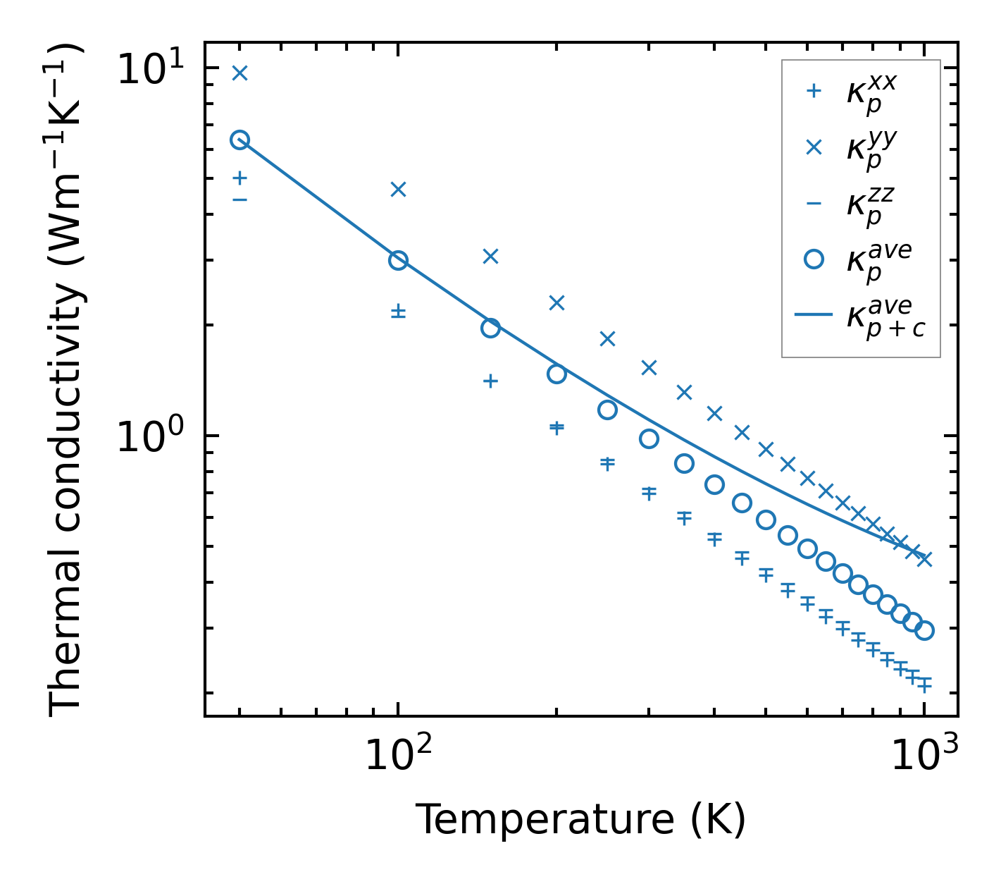
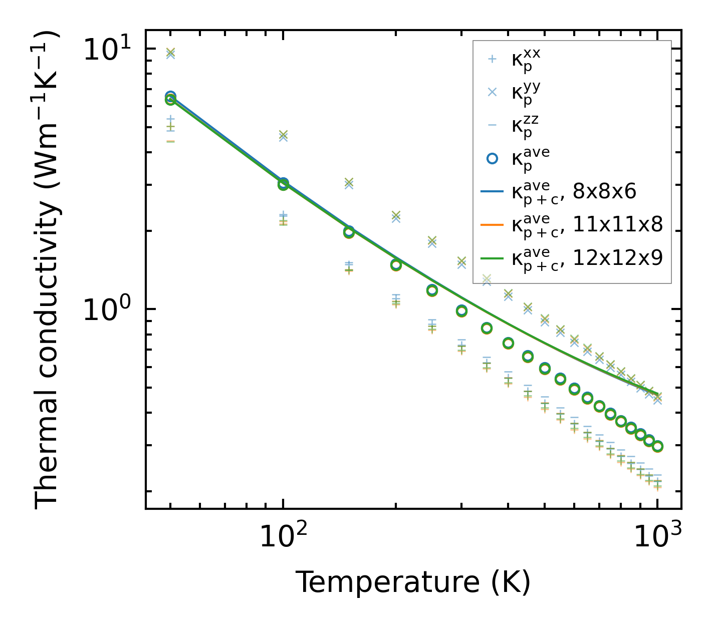
Thermal conductivity

3-phonon (LASSO) — q-mesh: 12x12x9, supercell: 1x3x2

../../_images/fig_kappa13938.png

(a) Temperature-dependent lattice thermal conductivity

../../_images/fig_kappa_vs_grain_size7477.png

(b) Peierls lattice thermal conductivity w.r.t grain size

Phonon lifetime and scattering rates

../../_images/fig_lifetime7323.png

(a) Phonon lifetime due to phonon-phonon scattering

../../_images/fig_scat_rates7322.png

(b) Phonon scattering rates

Cumulative and spectral thermal conductivity

../../_images/fig_cumu_frequency7323.png

(a) Spectral and cumulative thermal conductivity w.r.t frequency

../../_images/fig_cumu_mfp7322.png

(b) Spectral and cumulative thermal conductivity w.r.t MFP

Force constants

../../_images/fig_fc216440.png

(a) Force constants w.r.t atomic distance

Summary

../../_images/fig_kappa13939.png

(a) Temperature-dependent lattice thermal conductivity

../../_images/fig_times27540.png

(b) Computation time