mp-1078265/Cs2YbCl4/anharm

Harmonic properties

../../_images/fig_bandos_pr16862.png

(a) Phonon dispersion with participation ratio and DOS

../../_images/fig_thermo16861.png

(b) Thermodynamic properties

Grüneisen parameters

../../_images/fig_gru_all7374.png

(a) Grüneisen parameters

../../_images/fig_gruneisen7374.png

(b) Phonon dispersion with Grüneisen parameters

Thermal conductivity

3-phonon (LASSO) — q-mesh: 11x11x11, supercell: 3x3x1

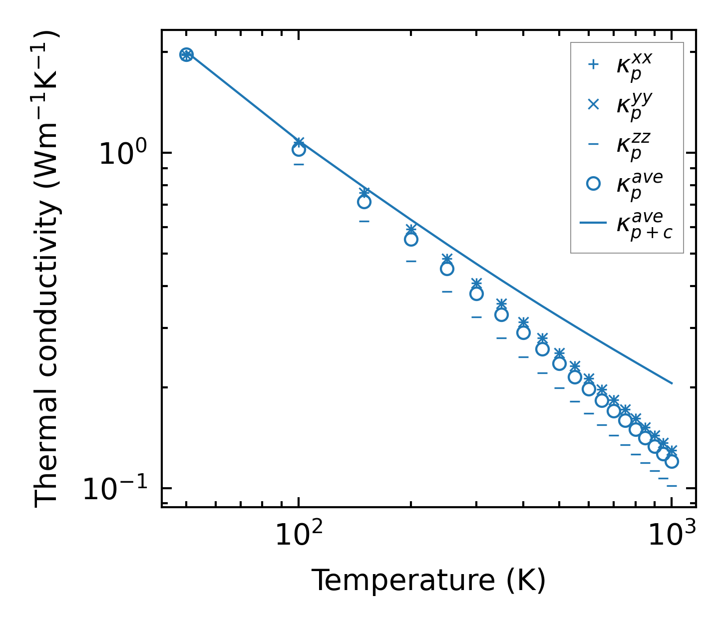
../../_images/fig_kappa13910.png

(a) Temperature-dependent lattice thermal conductivity

../../_images/fig_kappa_vs_grain_size7462.png

(b) Peierls lattice thermal conductivity w.r.t grain size

Phonon lifetime and scattering rates

../../_images/fig_lifetime7308.png

(a) Phonon lifetime due to phonon-phonon scattering

../../_images/fig_scat_rates7307.png

(b) Phonon scattering rates

Cumulative and spectral thermal conductivity

../../_images/fig_cumu_frequency7308.png

(a) Spectral and cumulative thermal conductivity w.r.t frequency

../../_images/fig_cumu_mfp7307.png

(b) Spectral and cumulative thermal conductivity w.r.t MFP

Force constants

../../_images/fig_fc216416.png

(a) Force constants w.r.t atomic distance

Summary

../../_images/fig_kappa13911.png

(a) Temperature-dependent lattice thermal conductivity

../../_images/fig_times27505.png

(b) Computation time