mp-1078554/KNa3H4/anharm

Harmonic properties

../../_images/fig_bandos_pr16880.png

(a) Phonon dispersion with participation ratio and DOS

../../_images/fig_thermo16879.png

(b) Thermodynamic properties

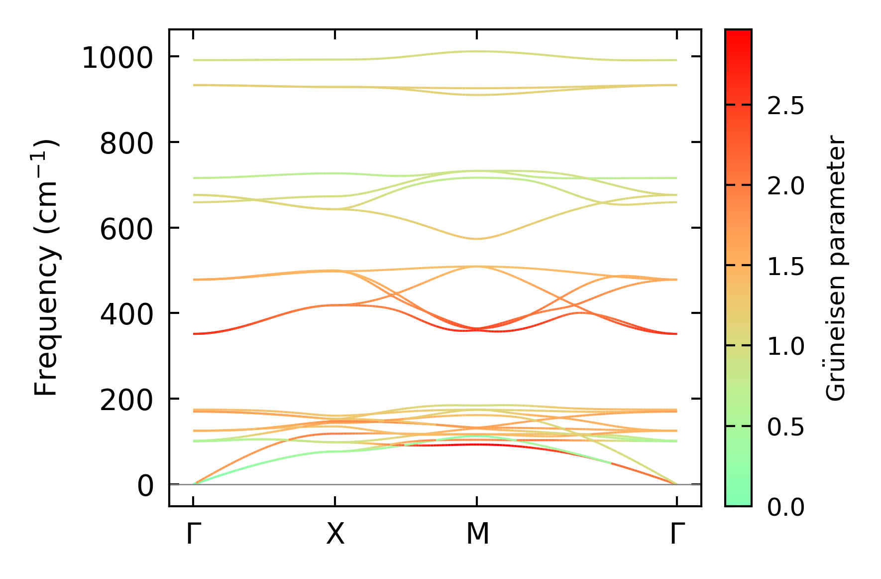
Grüneisen parameters

../../_images/fig_gru_all7384.png

(a) Grüneisen parameters

../../_images/fig_gruneisen7384.png

(b) Phonon dispersion with Grüneisen parameters

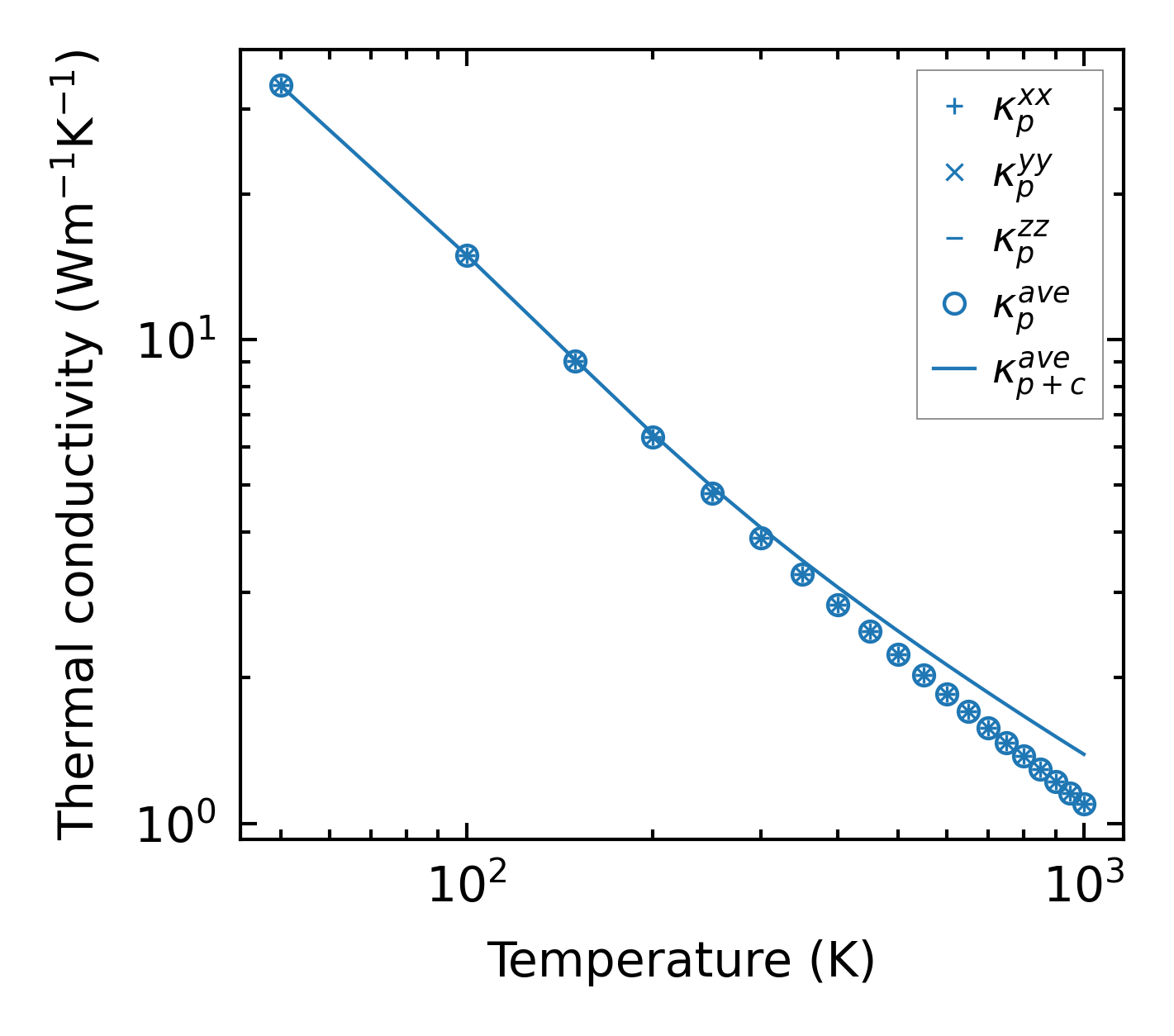
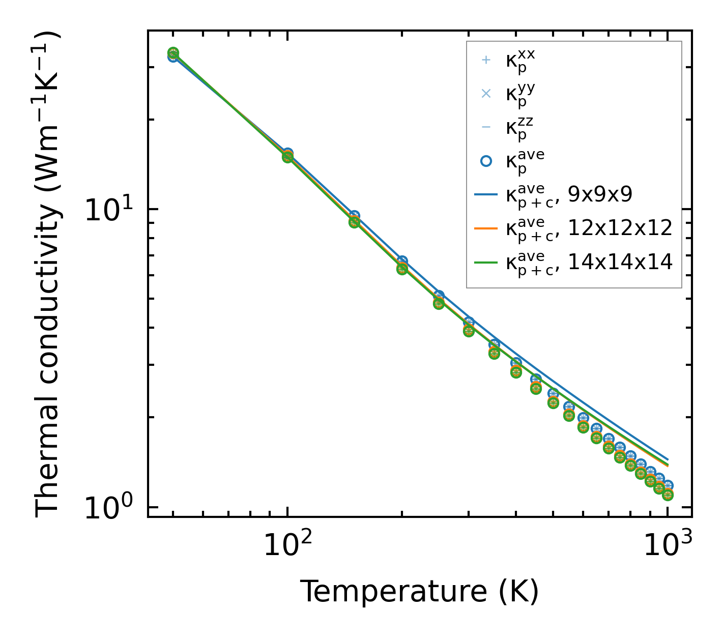
Thermal conductivity

3-phonon (LASSO) — q-mesh: 14x14x14, supercell: 2x2x2

../../_images/fig_kappa13929.png

(a) Temperature-dependent lattice thermal conductivity

../../_images/fig_kappa_vs_grain_size7472.png

(b) Peierls lattice thermal conductivity w.r.t grain size

Phonon lifetime and scattering rates

../../_images/fig_lifetime7318.png

(a) Phonon lifetime due to phonon-phonon scattering

../../_images/fig_scat_rates7317.png

(b) Phonon scattering rates

Cumulative and spectral thermal conductivity

../../_images/fig_cumu_frequency7318.png

(a) Spectral and cumulative thermal conductivity w.r.t frequency

../../_images/fig_cumu_mfp7317.png

(b) Spectral and cumulative thermal conductivity w.r.t MFP

Force constants

../../_images/fig_fc216434.png

(a) Force constants w.r.t atomic distance

Summary

../../_images/fig_kappa13930.png

(a) Temperature-dependent lattice thermal conductivity

../../_images/fig_times27531.png

(b) Computation time