mp-1078597/ZnCd3Se4/anharm

Harmonic properties

../../_images/fig_bandos_pr16882.png

(a) Phonon dispersion with participation ratio and DOS

../../_images/fig_thermo16881.png

(b) Thermodynamic properties

Grüneisen parameters

../../_images/fig_gru_all7386.png

(a) Grüneisen parameters

../../_images/fig_gruneisen7386.png

(b) Phonon dispersion with Grüneisen parameters

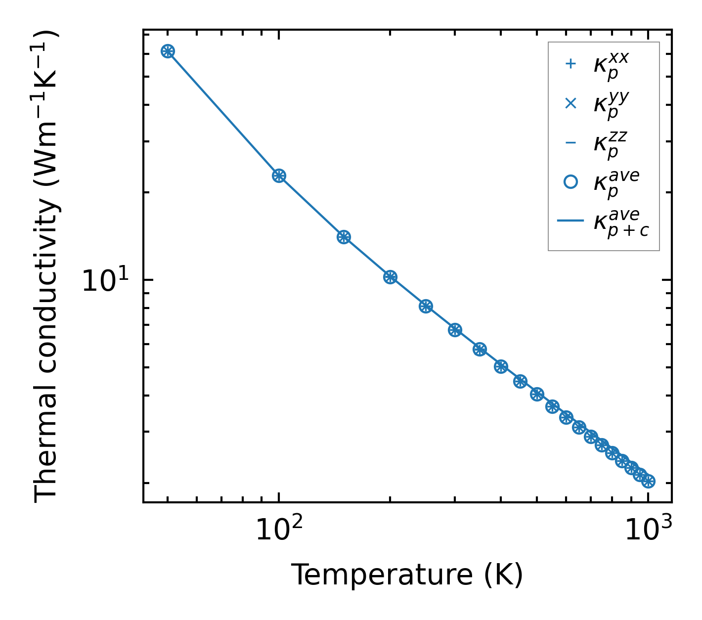
Thermal conductivity

3-phonon (LASSO) — q-mesh: 12x12x12, supercell: 2x2x2

../../_images/fig_kappa13933.png

(a) Temperature-dependent lattice thermal conductivity

../../_images/fig_kappa_vs_grain_size7474.png

(b) Peierls lattice thermal conductivity w.r.t grain size

Phonon lifetime and scattering rates

../../_images/fig_lifetime7320.png

(a) Phonon lifetime due to phonon-phonon scattering

../../_images/fig_scat_rates7319.png

(b) Phonon scattering rates

Cumulative and spectral thermal conductivity

../../_images/fig_cumu_frequency7320.png

(a) Spectral and cumulative thermal conductivity w.r.t frequency

../../_images/fig_cumu_mfp7319.png

(b) Spectral and cumulative thermal conductivity w.r.t MFP

Force constants

../../_images/fig_fc216436.png

(a) Force constants w.r.t atomic distance

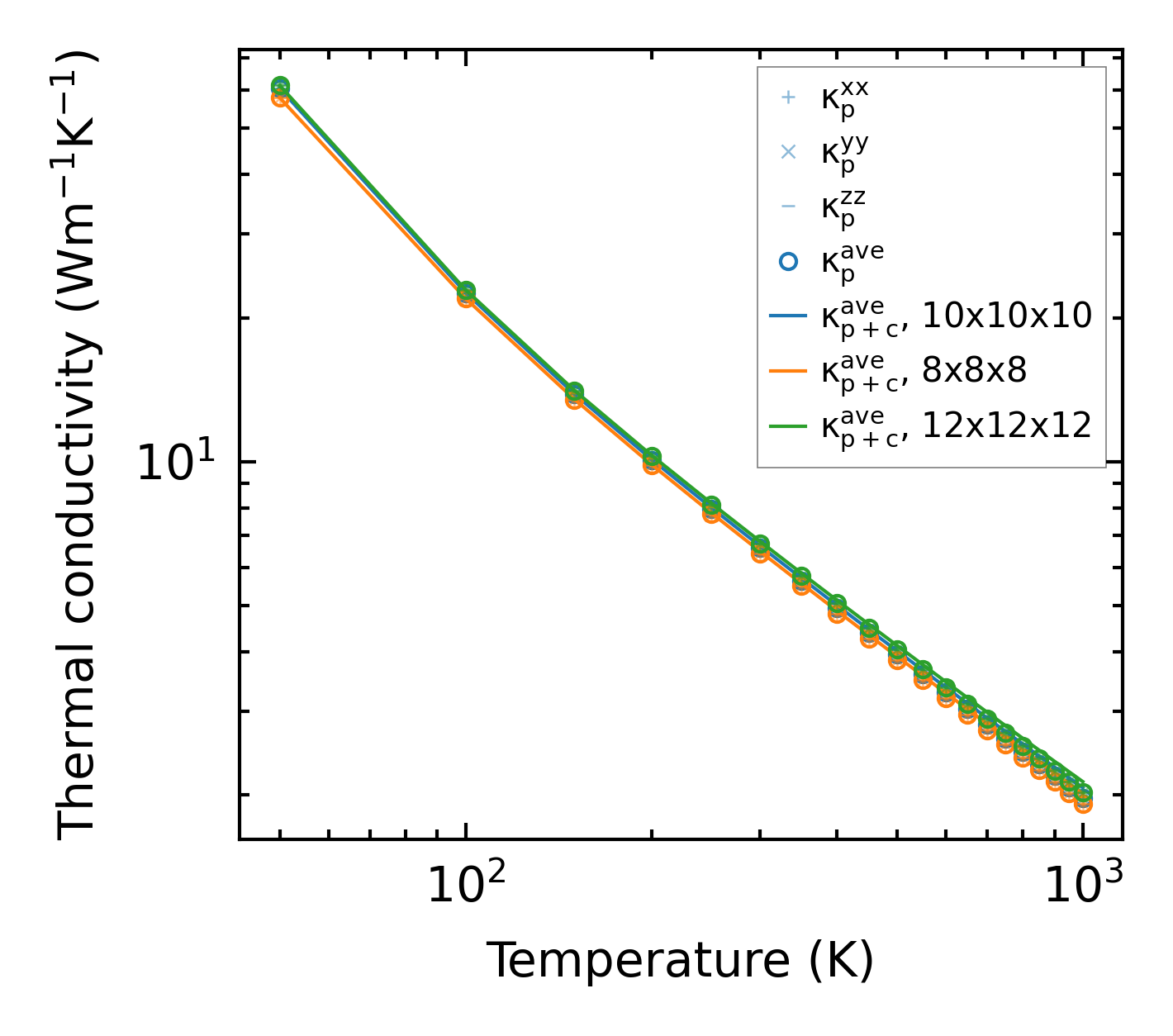
Summary

../../_images/fig_kappa13934.png

(a) Temperature-dependent lattice thermal conductivity

../../_images/fig_times27534.png

(b) Computation time