mp-1078751-2/Na2PdSe2/anharm

Equation of state

../../_images/fig_bm7798.png

(a) Equation of state

Harmonic properties

../../_images/fig_bandos_pr16897.png

(a) Phonon dispersion with participation ratio and DOS

../../_images/fig_thermo16896.png

(b) Thermodynamic properties

Grüneisen parameters

../../_images/fig_gru_all7395.png

(a) Grüneisen parameters

../../_images/fig_gruneisen7395.png

(b) Phonon dispersion with Grüneisen parameters

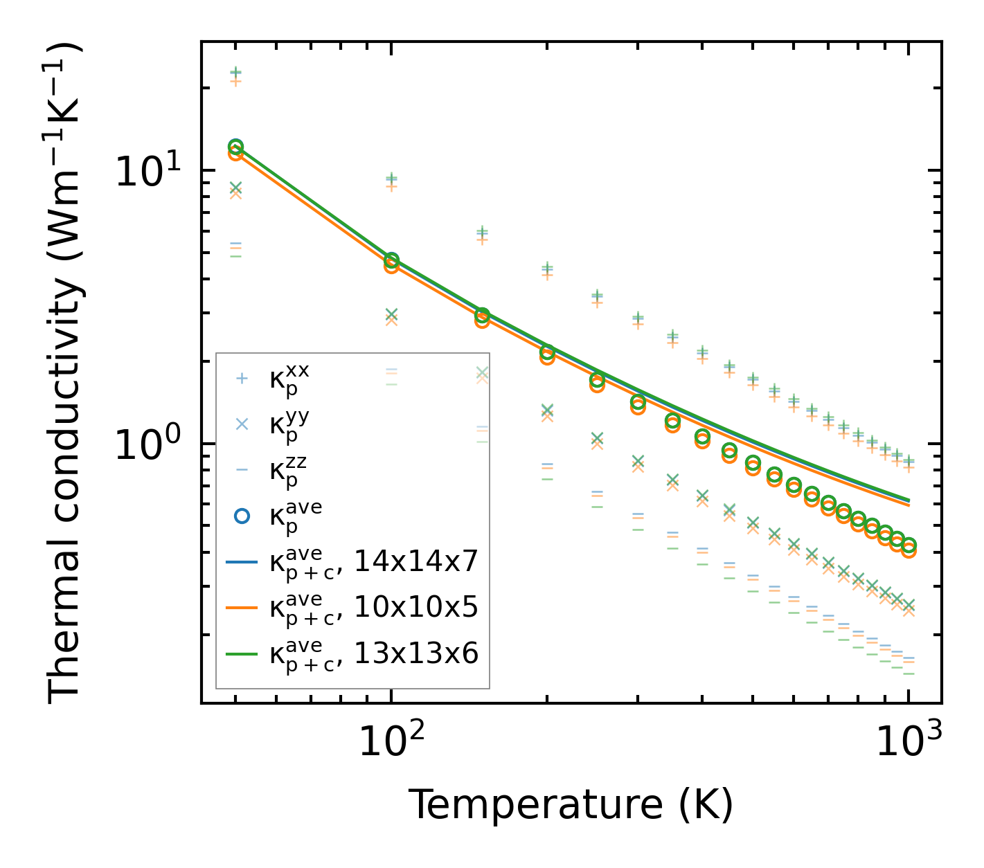
Thermal conductivity

3-phonon (LASSO) — q-mesh: 14x14x7, supercell: 3x2x1

../../_images/fig_kappa13950.png

(a) Temperature-dependent lattice thermal conductivity

../../_images/fig_kappa_vs_grain_size7483.png

(b) Peierls lattice thermal conductivity w.r.t grain size

Phonon lifetime and scattering rates

../../_images/fig_lifetime7329.png

(a) Phonon lifetime due to phonon-phonon scattering

../../_images/fig_scat_rates7328.png

(b) Phonon scattering rates

Cumulative and spectral thermal conductivity

../../_images/fig_cumu_frequency7329.png

(a) Spectral and cumulative thermal conductivity w.r.t frequency

../../_images/fig_cumu_mfp7328.png

(b) Spectral and cumulative thermal conductivity w.r.t MFP

Force constants

../../_images/fig_fc216451.png

(a) Force constants w.r.t atomic distance

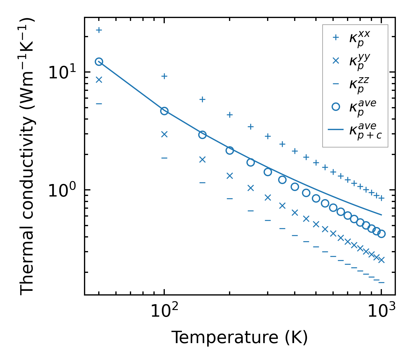
Summary

../../_images/fig_kappa13951.png

(a) Temperature-dependent lattice thermal conductivity

../../_images/fig_times27557.png

(b) Computation time