mp-1078410/Ba2ZnTeO6/anharm

Harmonic properties

../../_images/fig_bandos_pr16871.png

(a) Phonon dispersion with participation ratio and DOS

../../_images/fig_thermo16870.png

(b) Thermodynamic properties

Grüneisen parameters

../../_images/fig_gru_all7380.png

(a) Grüneisen parameters

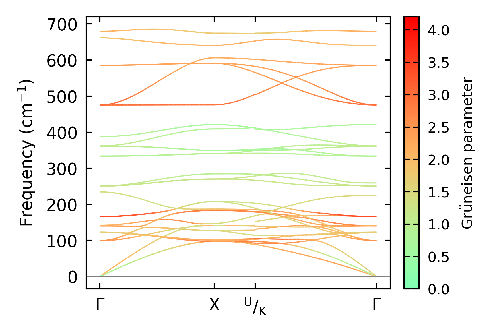
../../_images/fig_gruneisen7380.png

(b) Phonon dispersion with Grüneisen parameters

Thermal conductivity

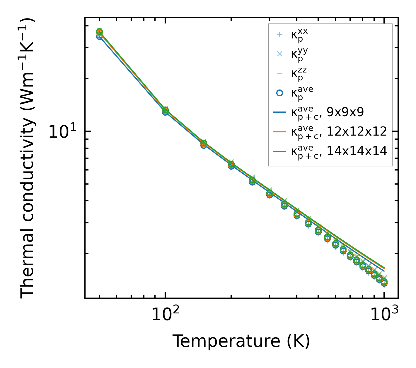
3-phonon (LASSO) — q-mesh: 14x14x14, supercell: 1x1x1

../../_images/fig_kappa13922.png

(a) Temperature-dependent lattice thermal conductivity

../../_images/fig_kappa_vs_grain_size7468.png

(b) Peierls lattice thermal conductivity w.r.t grain size

Phonon lifetime and scattering rates

../../_images/fig_lifetime7314.png

(a) Phonon lifetime due to phonon-phonon scattering

../../_images/fig_scat_rates7313.png

(b) Phonon scattering rates

Cumulative and spectral thermal conductivity

../../_images/fig_cumu_frequency7314.png

(a) Spectral and cumulative thermal conductivity w.r.t frequency

../../_images/fig_cumu_mfp7313.png

(b) Spectral and cumulative thermal conductivity w.r.t MFP

Force constants

../../_images/fig_fc216425.png

(a) Force constants w.r.t atomic distance

Summary

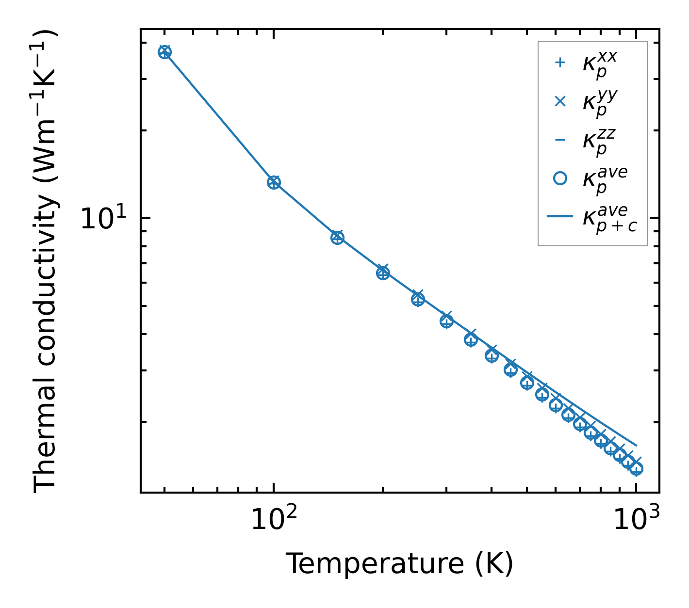
../../_images/fig_kappa13923.png

(a) Temperature-dependent lattice thermal conductivity

../../_images/fig_times27519.png

(b) Computation time