mp-1078405/Ba2ThCu2Se5/anharm

Harmonic properties

../../_images/fig_bandos_pr16869.png

(a) Phonon dispersion with participation ratio and DOS

../../_images/fig_thermo16868.png

(b) Thermodynamic properties

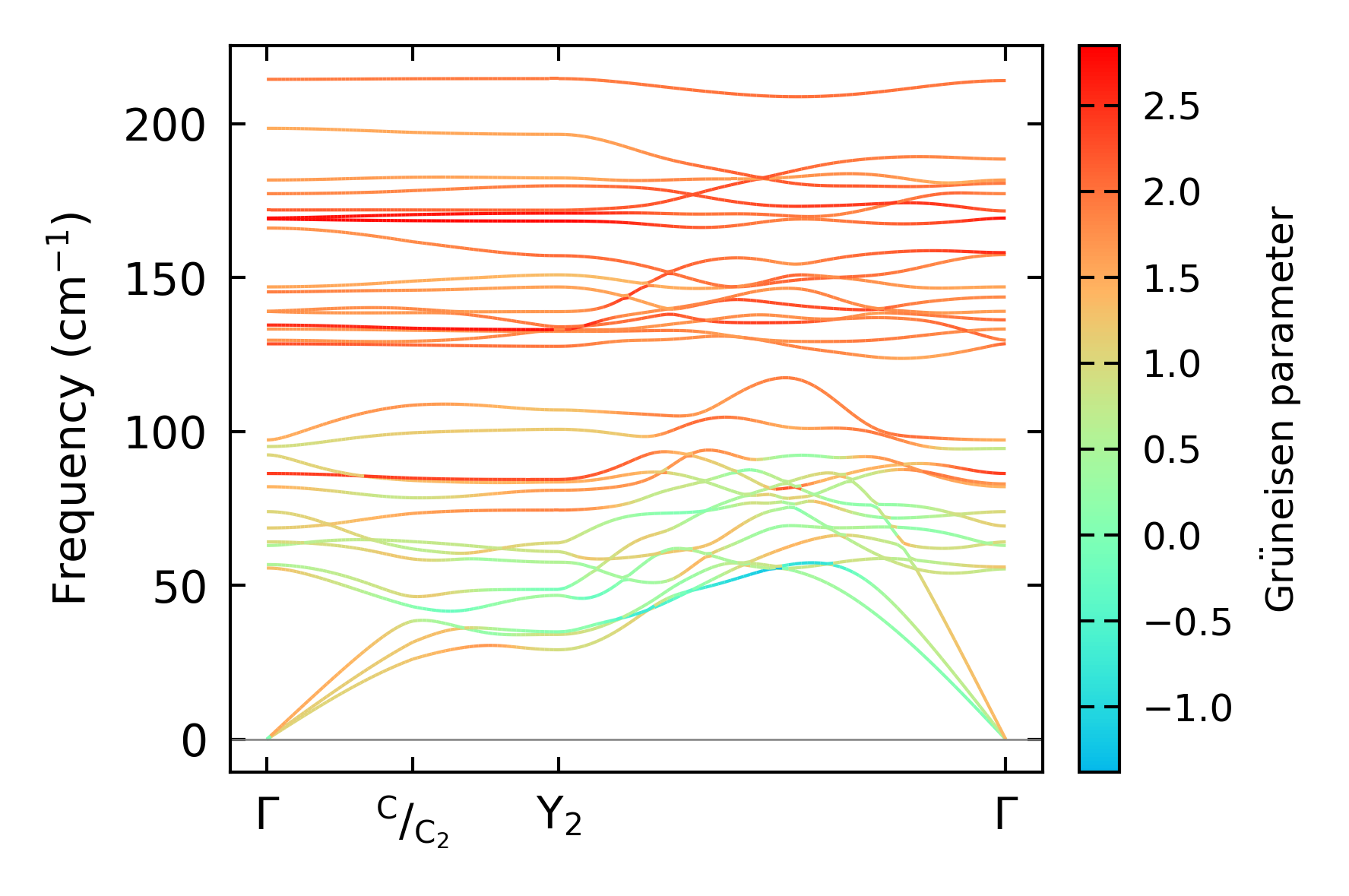
Grüneisen parameters

../../_images/fig_gru_all7379.png

(a) Grüneisen parameters

../../_images/fig_gruneisen7379.png

(b) Phonon dispersion with Grüneisen parameters

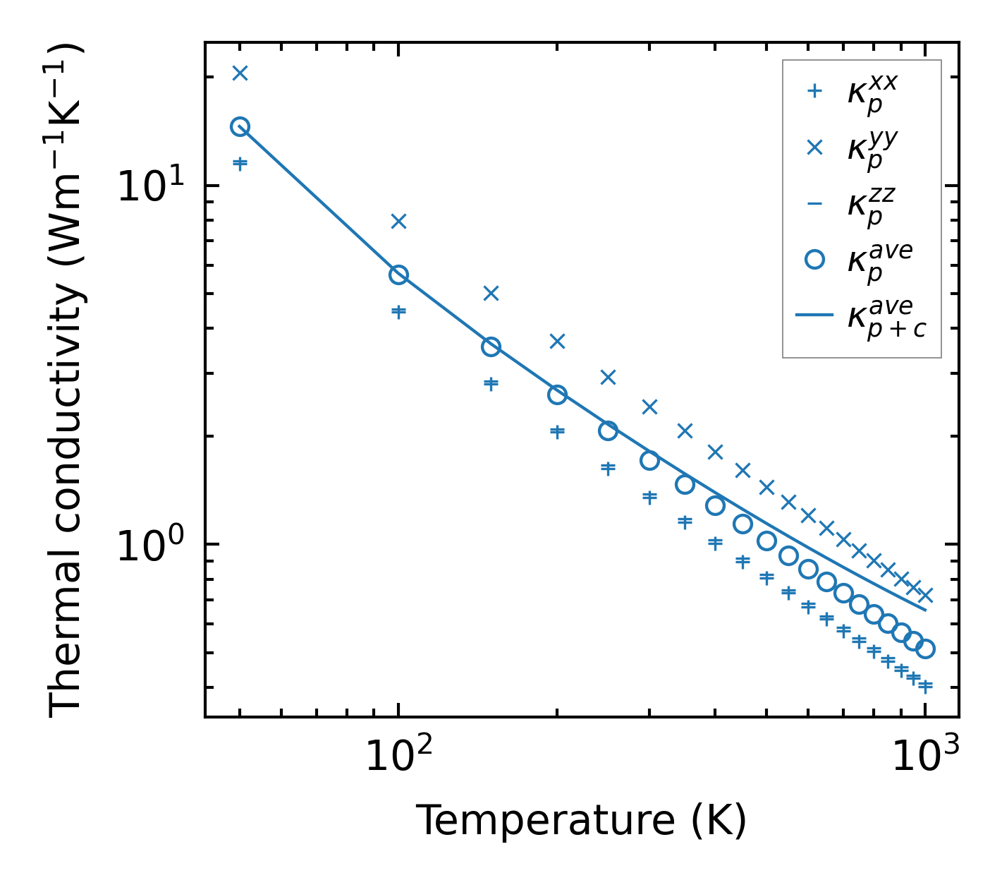
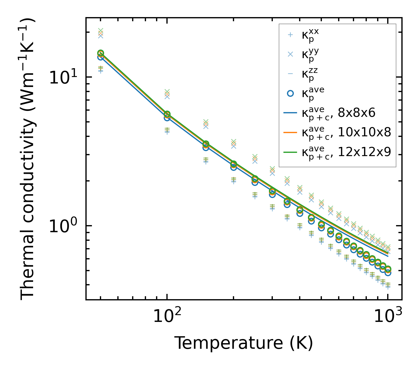
Thermal conductivity

3-phonon (LASSO) — q-mesh: 12x12x9, supercell: 1x3x2

../../_images/fig_kappa13920.png

(a) Temperature-dependent lattice thermal conductivity

../../_images/fig_kappa_vs_grain_size7467.png

(b) Peierls lattice thermal conductivity w.r.t grain size

Phonon lifetime and scattering rates

../../_images/fig_lifetime7313.png

(a) Phonon lifetime due to phonon-phonon scattering

../../_images/fig_scat_rates7312.png

(b) Phonon scattering rates

Cumulative and spectral thermal conductivity

../../_images/fig_cumu_frequency7313.png

(a) Spectral and cumulative thermal conductivity w.r.t frequency

../../_images/fig_cumu_mfp7312.png

(b) Spectral and cumulative thermal conductivity w.r.t MFP

Force constants

../../_images/fig_fc216423.png

(a) Force constants w.r.t atomic distance

Summary

../../_images/fig_kappa13921.png

(a) Temperature-dependent lattice thermal conductivity

../../_images/fig_times27517.png

(b) Computation time