mp-1078191/Ba2TeO/anharm

Harmonic properties

../../_images/fig_bandos_pr16854.png

(a) Phonon dispersion with participation ratio and DOS

../../_images/fig_thermo16853.png

(b) Thermodynamic properties

Grüneisen parameters

../../_images/fig_gru_all7371.png

(a) Grüneisen parameters

../../_images/fig_gruneisen7371.png

(b) Phonon dispersion with Grüneisen parameters

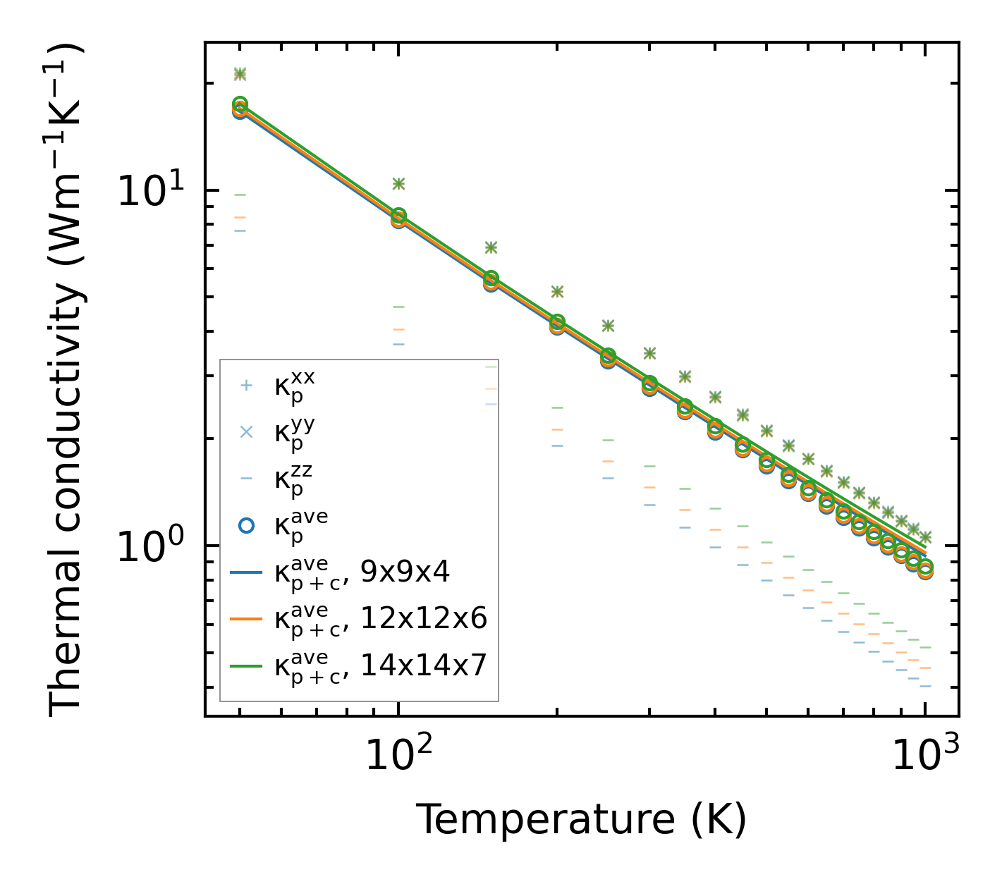
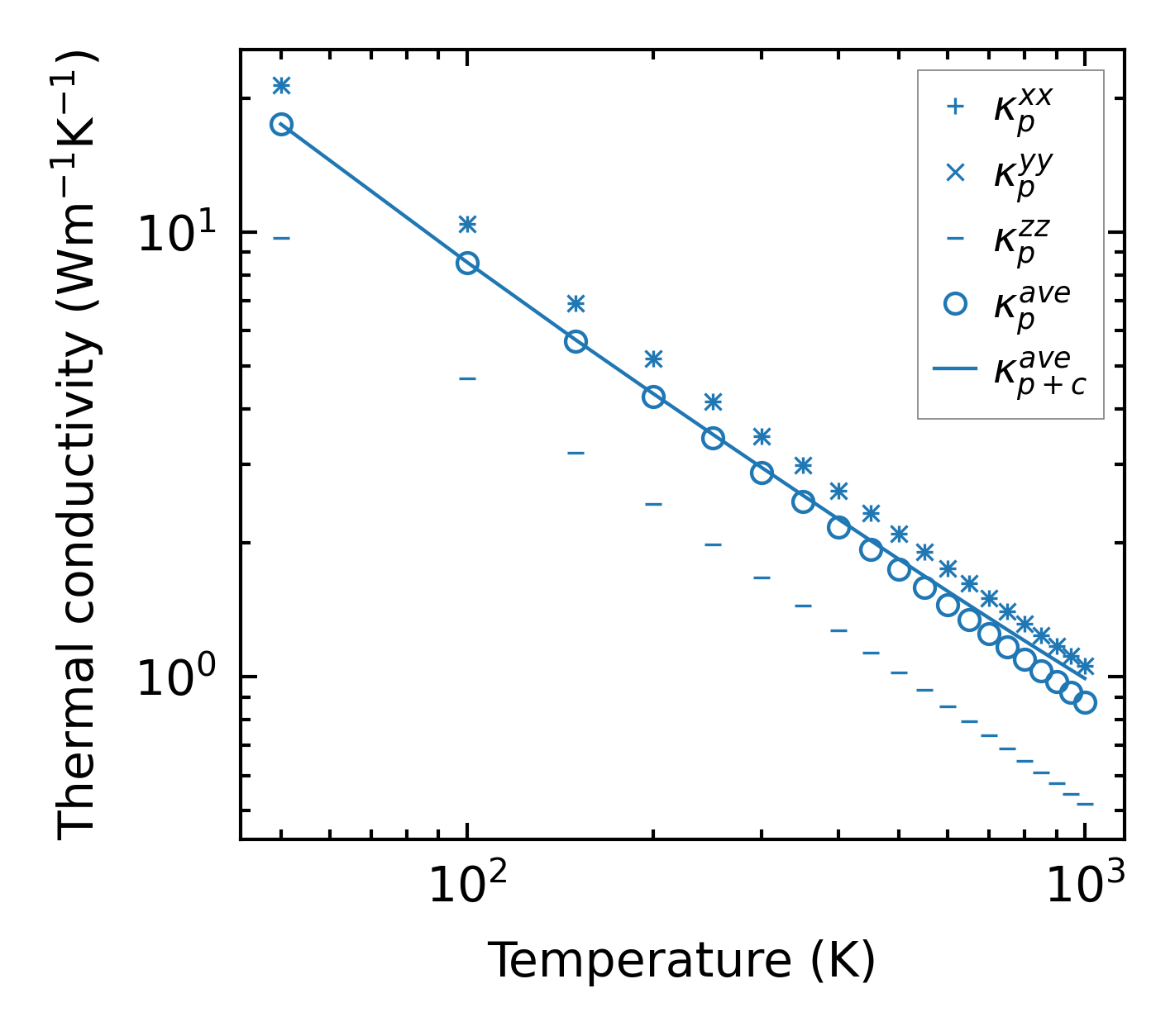
Thermal conductivity

3-phonon (LASSO) — q-mesh: 14x14x7, supercell: 3x3x2

../../_images/fig_kappa13904.png

(a) Temperature-dependent lattice thermal conductivity

../../_images/fig_kappa_vs_grain_size7459.png

(b) Peierls lattice thermal conductivity w.r.t grain size

Phonon lifetime and scattering rates

../../_images/fig_lifetime7305.png

(a) Phonon lifetime due to phonon-phonon scattering

../../_images/fig_scat_rates7304.png

(b) Phonon scattering rates

Cumulative and spectral thermal conductivity

../../_images/fig_cumu_frequency7305.png

(a) Spectral and cumulative thermal conductivity w.r.t frequency

../../_images/fig_cumu_mfp7304.png

(b) Spectral and cumulative thermal conductivity w.r.t MFP

Force constants

../../_images/fig_fc216408.png

(a) Force constants w.r.t atomic distance

Summary

../../_images/fig_kappa13905.png

(a) Temperature-dependent lattice thermal conductivity

../../_images/fig_times27497.png

(b) Computation time