mp-1078085/Cs2PdCl4/anharm

Harmonic properties

../../_images/fig_bandos_pr16850.png

(a) Phonon dispersion with participation ratio and DOS

../../_images/fig_thermo16849.png

(b) Thermodynamic properties

Grüneisen parameters

../../_images/fig_gru_all7369.png

(a) Grüneisen parameters

../../_images/fig_gruneisen7369.png

(b) Phonon dispersion with Grüneisen parameters

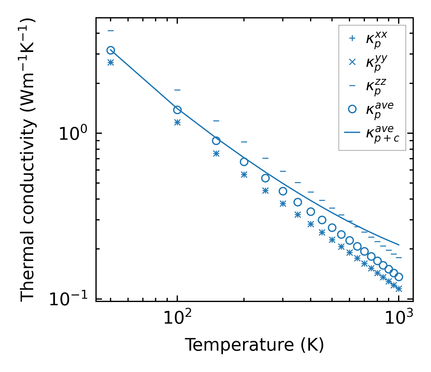
Thermal conductivity

3-phonon — q-mesh: 9x9x15, supercell: 2x2x4

../../_images/fig_kappa13900.png

(a) Temperature-dependent lattice thermal conductivity

../../_images/fig_kappa_vs_grain_size7457.png

(b) Peierls lattice thermal conductivity w.r.t grain size

Phonon lifetime and scattering rates

../../_images/fig_lifetime7303.png

(a) Phonon lifetime due to phonon-phonon scattering

../../_images/fig_scat_rates7302.png

(b) Phonon scattering rates

Cumulative and spectral thermal conductivity

../../_images/fig_cumu_frequency7303.png

(a) Spectral and cumulative thermal conductivity w.r.t frequency

../../_images/fig_cumu_mfp7302.png

(b) Spectral and cumulative thermal conductivity w.r.t MFP

Force constants

../../_images/fig_fc3446.png

(a) Force constants w.r.t atomic distance

Summary

../../_images/fig_kappa13901.png

(a) Temperature-dependent lattice thermal conductivity

../../_images/fig_times27493.png

(b) Computation time