mp-1078298-2/SbNO2F6/anharm

Equation of state

../../_images/fig_bm7794.png

(a) Equation of state

Harmonic properties

../../_images/fig_bandos_pr16864.png

(a) Phonon dispersion with participation ratio and DOS

../../_images/fig_thermo16863.png

(b) Thermodynamic properties

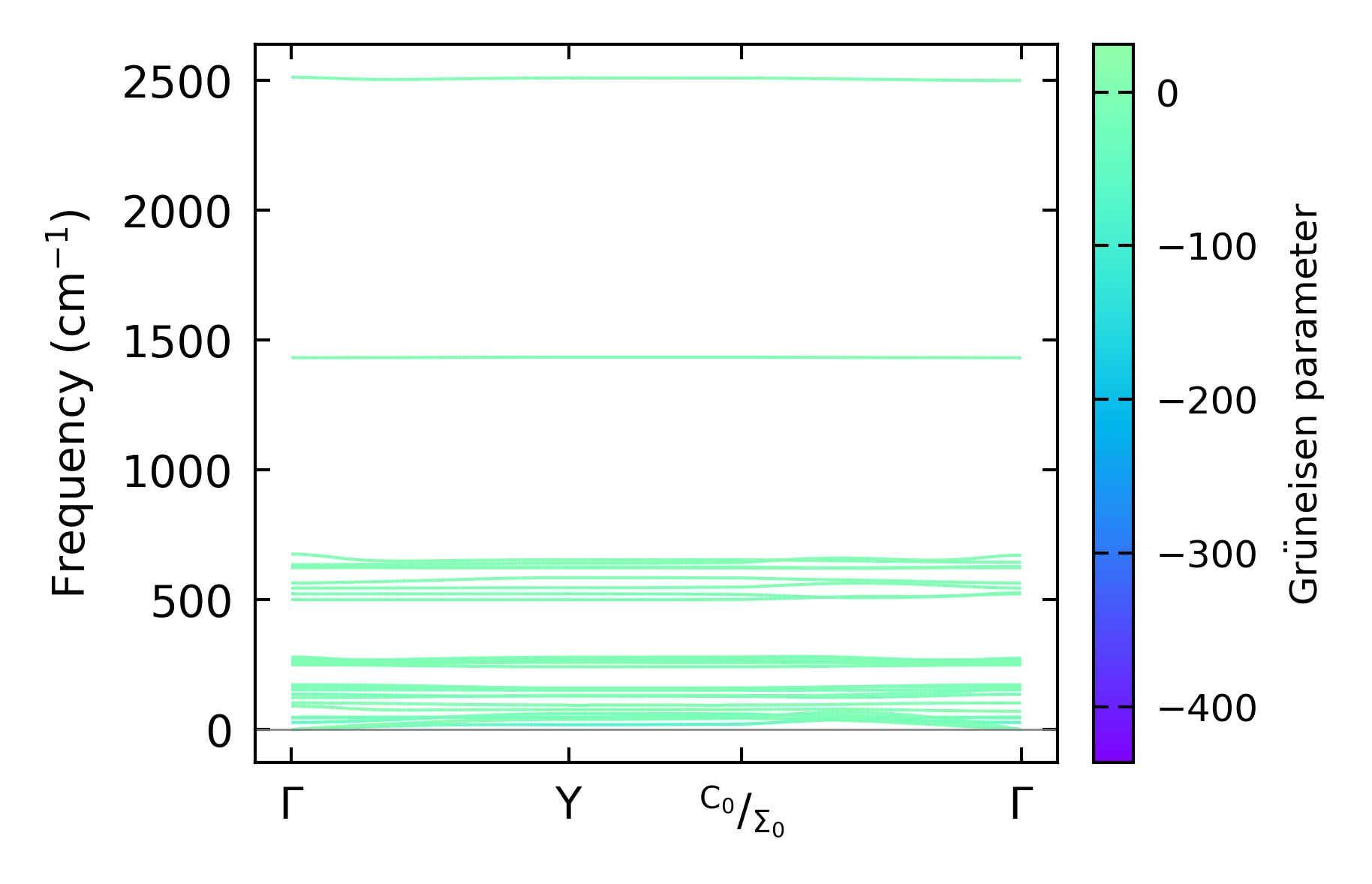
Grüneisen parameters

../../_images/fig_gru_all7375.png

(a) Grüneisen parameters

../../_images/fig_gruneisen7375.png

(b) Phonon dispersion with Grüneisen parameters

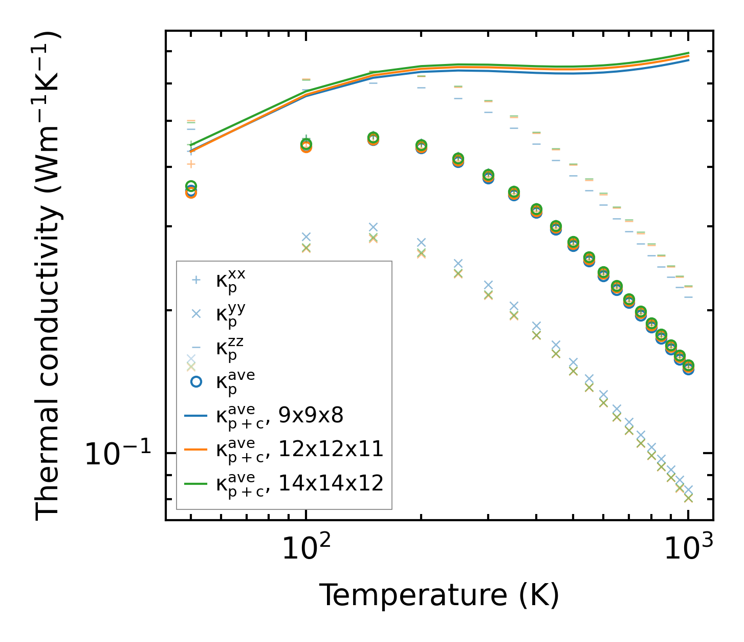
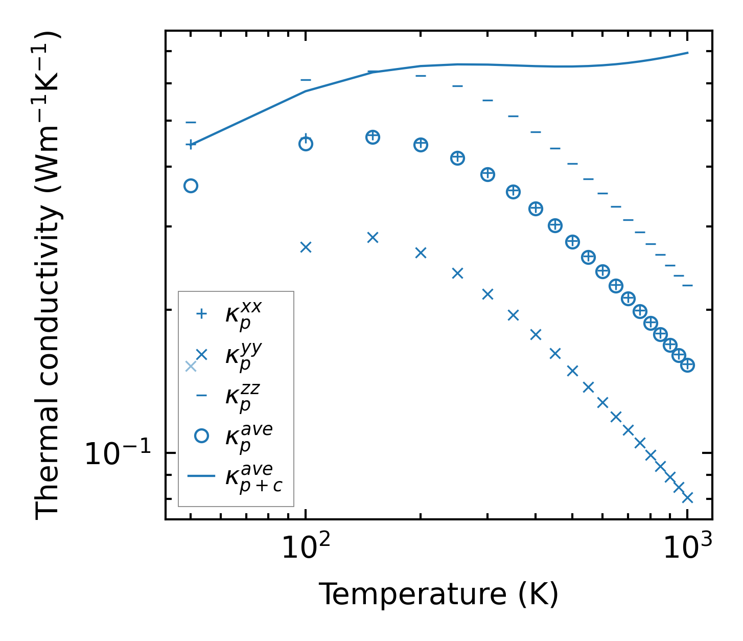
Thermal conductivity

3-phonon (LASSO) — q-mesh: 14x14x12, supercell: 2x1x2

../../_images/fig_kappa13912.png

(a) Temperature-dependent lattice thermal conductivity

../../_images/fig_kappa_vs_grain_size7463.png

(b) Peierls lattice thermal conductivity w.r.t grain size

Phonon lifetime and scattering rates

../../_images/fig_lifetime7309.png

(a) Phonon lifetime due to phonon-phonon scattering

../../_images/fig_scat_rates7308.png

(b) Phonon scattering rates

Cumulative and spectral thermal conductivity

../../_images/fig_cumu_frequency7309.png

(a) Spectral and cumulative thermal conductivity w.r.t frequency

../../_images/fig_cumu_mfp7308.png

(b) Spectral and cumulative thermal conductivity w.r.t MFP

Force constants

../../_images/fig_fc216418.png

(a) Force constants w.r.t atomic distance

Summary

../../_images/fig_kappa13913.png

(a) Temperature-dependent lattice thermal conductivity

../../_images/fig_times27508.png

(b) Computation time