mp-768974/BaY3Cl11/harm

Harmonic properties

../../_images/fig_bandos_pr2622.png

(a) Phonon dispersion with participation ratio and DOS

../../_images/fig_bandos3178.png

(b) Phonon dispersion and DOS

../../_images/fig_thermo2622.png

(c) Thermodynamic properties

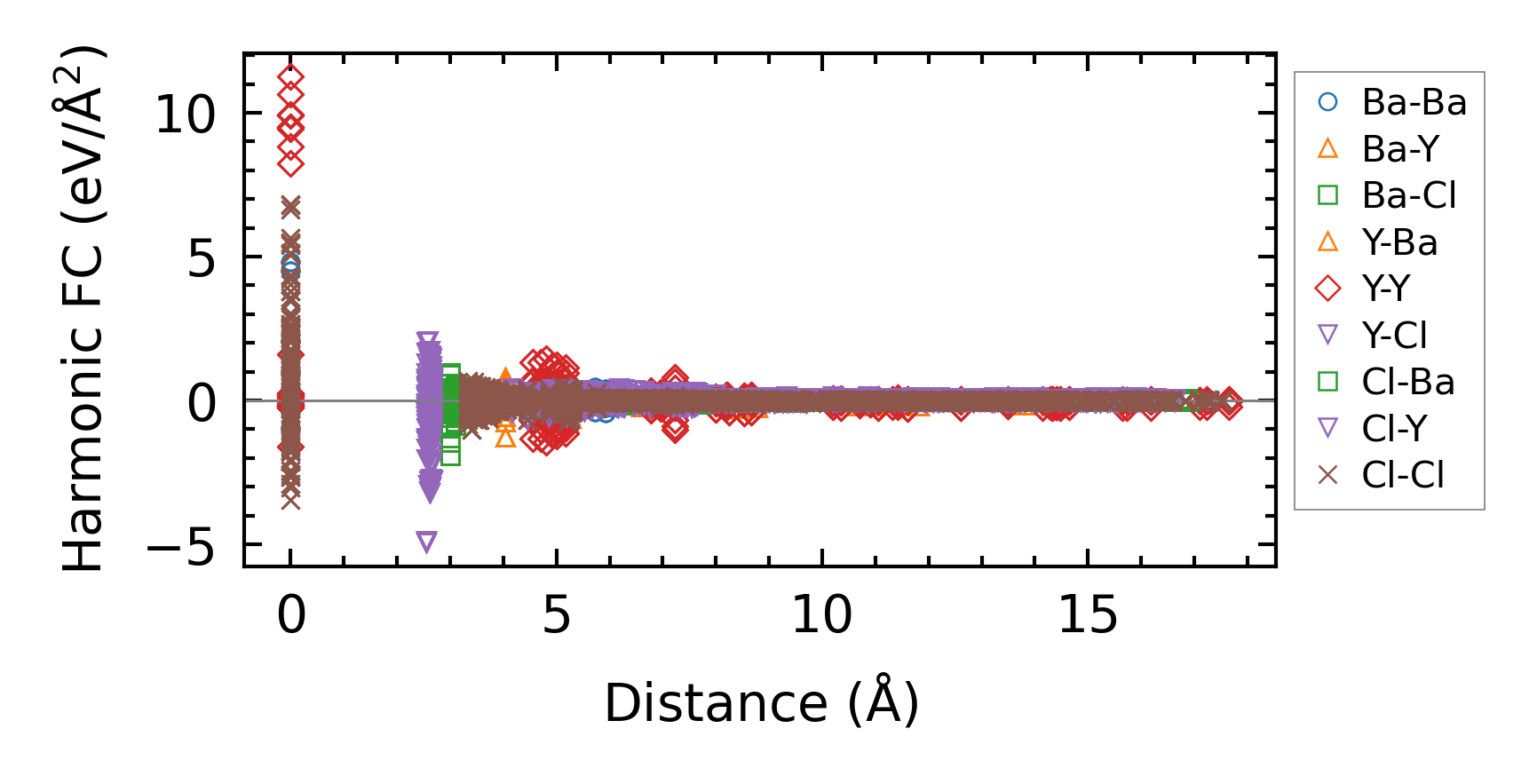
Force constants

../../_images/fig_fc22443.png

(a) Force constants w.r.t atomic distance

Summary

../../_images/fig_times4369.png

(a) Computation time