mp-768358/ScInO3/anharm

Harmonic properties

../../_images/fig_bandos_pr2840.png

(a) Phonon dispersion with participation ratio and DOS

../../_images/fig_thermo2840.png

(b) Thermodynamic properties

Grüneisen parameters

../../_images/fig_gru_all1402.png

(a) Grüneisen parameters

../../_images/fig_gruneisen1402.png

(b) Phonon dispersion with Grüneisen parameters

Thermal conductivity

3-phonon (LASSO) — q-mesh: 21x21x6, supercell: 3x3x1

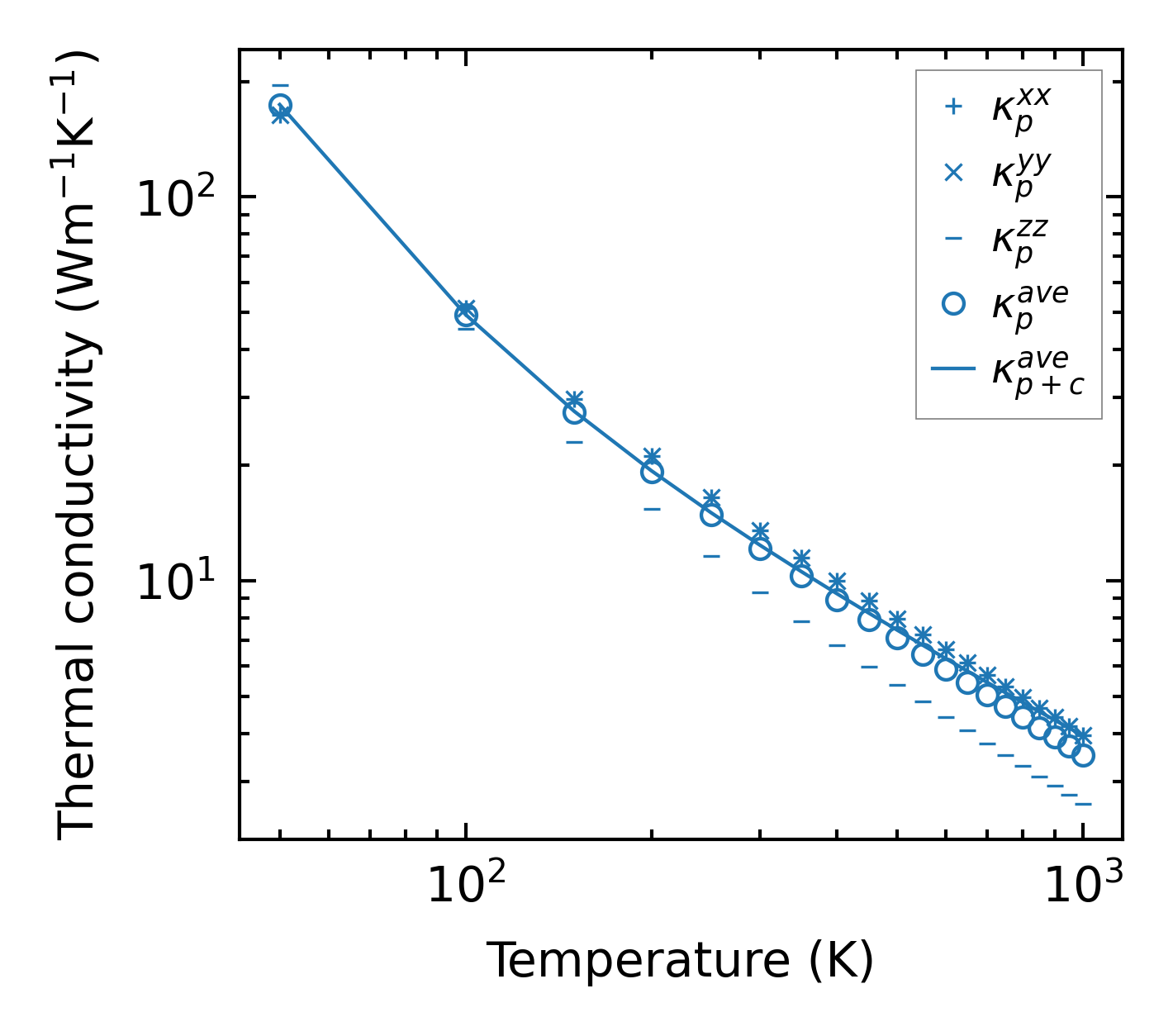
../../_images/fig_kappa2705.png

(a) Temperature-dependent lattice thermal conductivity

../../_images/fig_kappa_vs_grain_size1418.png

(b) Peierls lattice thermal conductivity w.r.t grain size

Phonon lifetime and scattering rates

../../_images/fig_lifetime1392.png

(a) Phonon lifetime due to phonon-phonon scattering

../../_images/fig_scat_rates1391.png

(b) Phonon scattering rates

Cumulative and spectral thermal conductivity

../../_images/fig_cumu_frequency1392.png

(a) Spectral and cumulative thermal conductivity w.r.t frequency

../../_images/fig_cumu_mfp1392.png

(b) Spectral and cumulative thermal conductivity w.r.t MFP

Force constants

../../_images/fig_fc22661.png

(a) Force constants w.r.t atomic distance

Summary

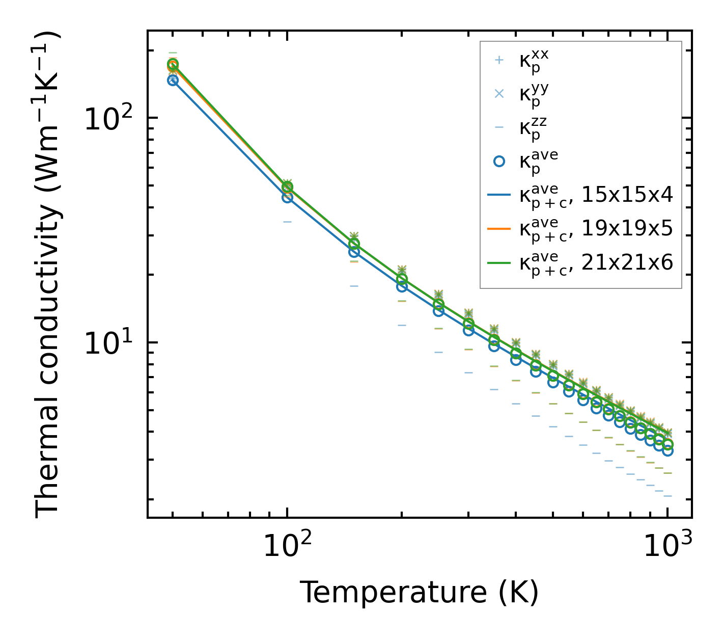
../../_images/fig_kappa2706.png

(a) Temperature-dependent lattice thermal conductivity

../../_images/fig_times4784.png

(b) Computation time