mp-768333/DyYO3/anharm

Harmonic properties

../../_images/fig_bandos_pr2835.png

(a) Phonon dispersion with participation ratio and DOS

../../_images/fig_bandos3518.png

(b) Phonon dispersion and DOS

../../_images/fig_thermo2835.png

(c) Thermodynamic properties

Grüneisen parameters

../../_images/fig_gru_all1399.png

(a) Grüneisen parameters

../../_images/fig_gruneisen1399.png

(b) Phonon dispersion with Grüneisen parameters

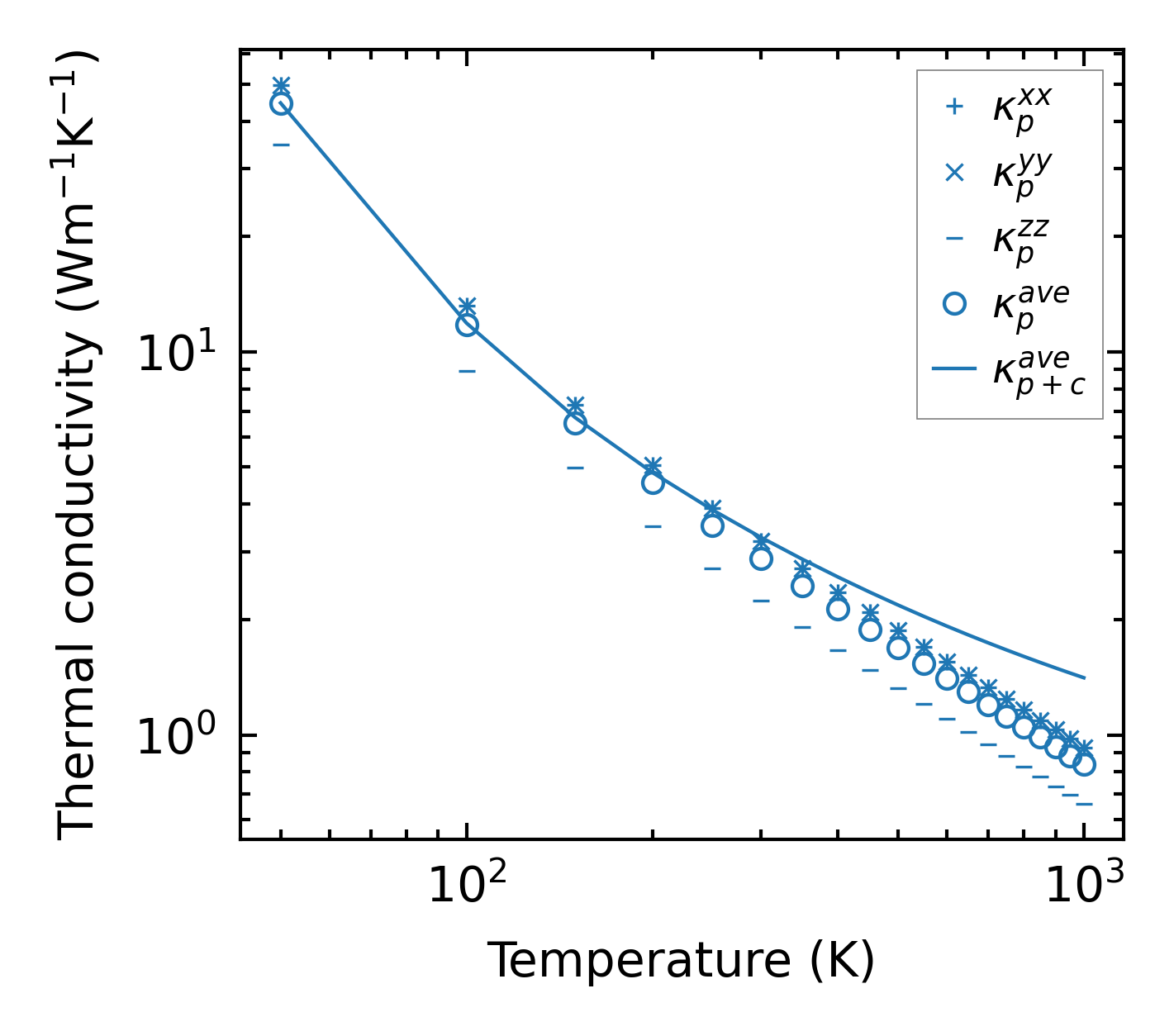
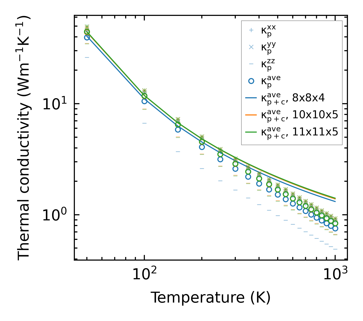
Thermal conductivity

3-phonon (LASSO) — q-mesh: 11x11x5, supercell: 2x2x1

../../_images/fig_kappa2699.png

(a) Temperature-dependent lattice thermal conductivity

../../_images/fig_kappa_vs_grain_size1415.png

(b) Peierls lattice thermal conductivity w.r.t grain size

Phonon lifetime and scattering rates

../../_images/fig_lifetime1389.png

(a) Phonon lifetime due to phonon-phonon scattering

../../_images/fig_scat_rates1388.png

(b) Phonon scattering rates

Cumulative and spectral thermal conductivity

../../_images/fig_cumu_frequency1389.png

(a) Spectral and cumulative thermal conductivity w.r.t frequency

../../_images/fig_cumu_mfp1389.png

(b) Spectral and cumulative thermal conductivity w.r.t MFP

Force constants

../../_images/fig_fc22656.png

(a) Force constants w.r.t atomic distance

Summary

../../_images/fig_kappa2700.png

(a) Temperature-dependent lattice thermal conductivity

../../_images/fig_times4776.png

(b) Computation time