mp-768518/LaAlO3/anharm

Equation of state

../../_images/fig_bm1217.png

(a) Equation of state

Harmonic properties

../../_images/fig_bandos_pr2856.png

(a) Phonon dispersion with participation ratio and DOS

../../_images/fig_thermo2856.png

(b) Thermodynamic properties

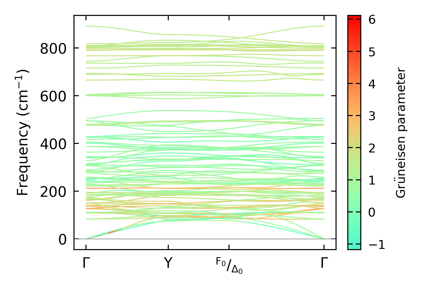
Grüneisen parameters

../../_images/fig_gru_all1411.png

(a) Grüneisen parameters

../../_images/fig_gruneisen1411.png

(b) Phonon dispersion with Grüneisen parameters

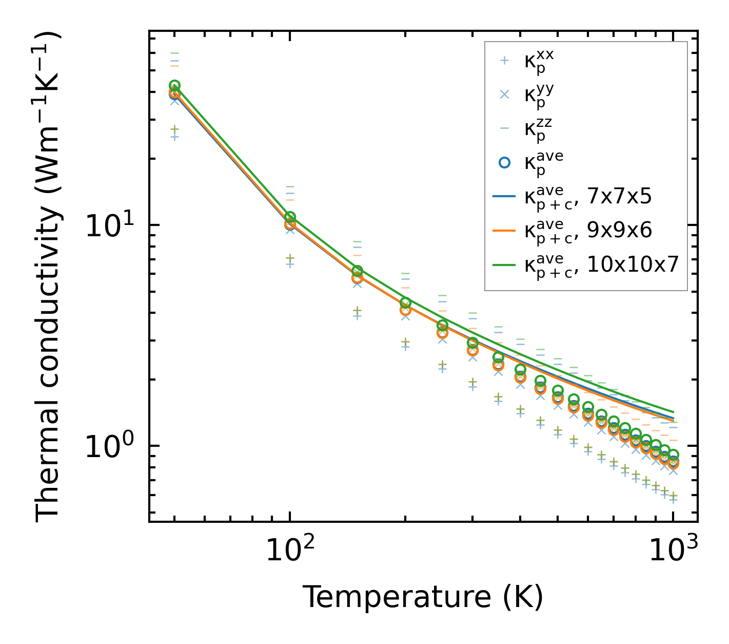
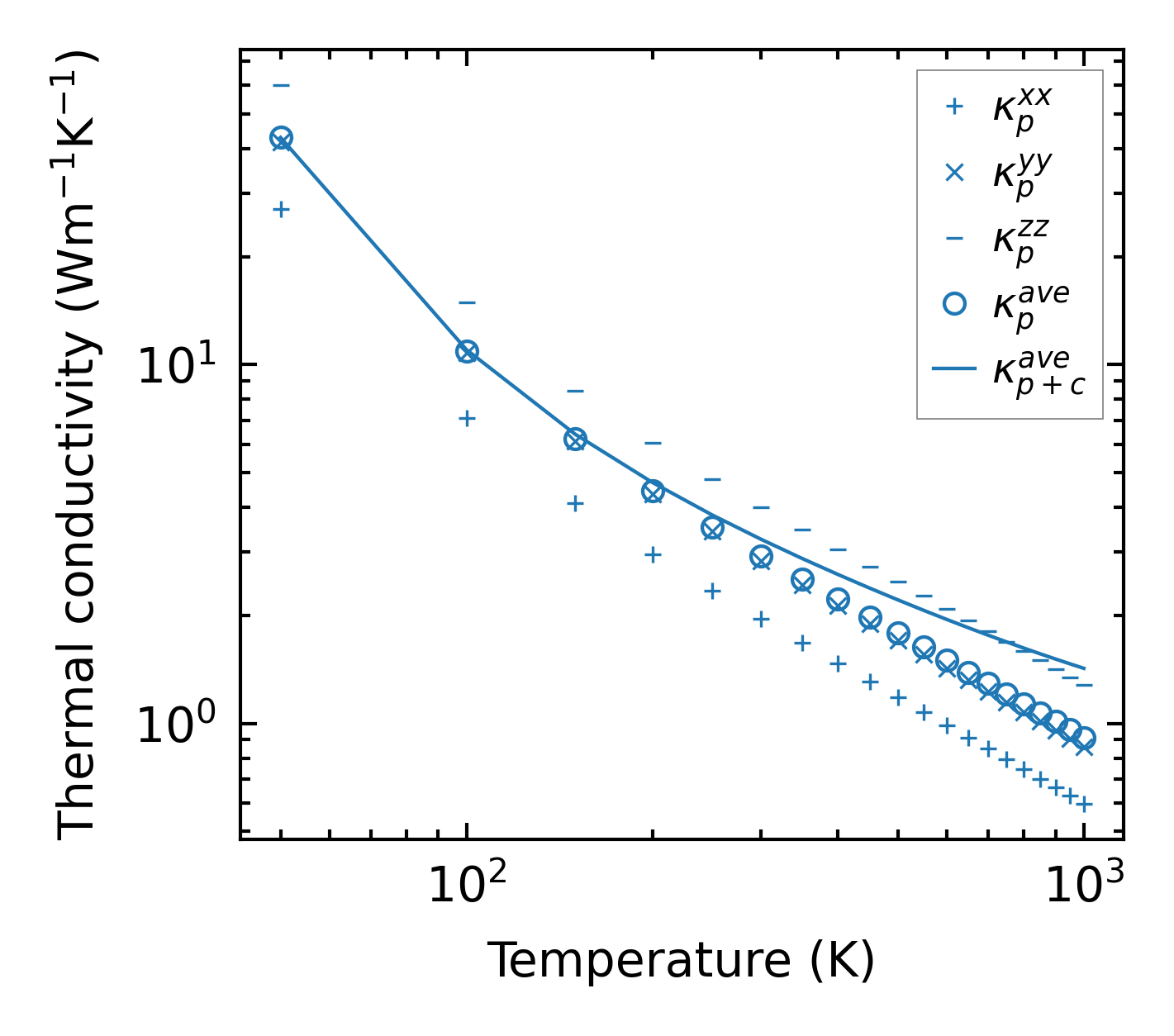
Thermal conductivity

3-phonon (LASSO) — q-mesh: 10x10x7, supercell: 1x2x1

../../_images/fig_kappa2723.png

(a) Temperature-dependent lattice thermal conductivity

../../_images/fig_kappa_vs_grain_size1427.png

(b) Peierls lattice thermal conductivity w.r.t grain size

Phonon lifetime and scattering rates

../../_images/fig_lifetime1401.png

(a) Phonon lifetime due to phonon-phonon scattering

../../_images/fig_scat_rates1400.png

(b) Phonon scattering rates

Cumulative and spectral thermal conductivity

../../_images/fig_cumu_frequency1401.png

(a) Spectral and cumulative thermal conductivity w.r.t frequency

../../_images/fig_cumu_mfp1401.png

(b) Spectral and cumulative thermal conductivity w.r.t MFP

Force constants

../../_images/fig_fc22677.png

(a) Force constants w.r.t atomic distance

Summary

../../_images/fig_kappa2724.png

(a) Temperature-dependent lattice thermal conductivity

../../_images/fig_times4817.png

(b) Computation time