mp-768615/Sr3La2Cl12/anharm

Harmonic properties

../../_images/fig_bandos_pr2865.png

(a) Phonon dispersion with participation ratio and DOS

../../_images/fig_thermo2865.png

(b) Thermodynamic properties

Grüneisen parameters

../../_images/fig_gru_all1414.png

(a) Grüneisen parameters

../../_images/fig_gruneisen1414.png

(b) Phonon dispersion with Grüneisen parameters

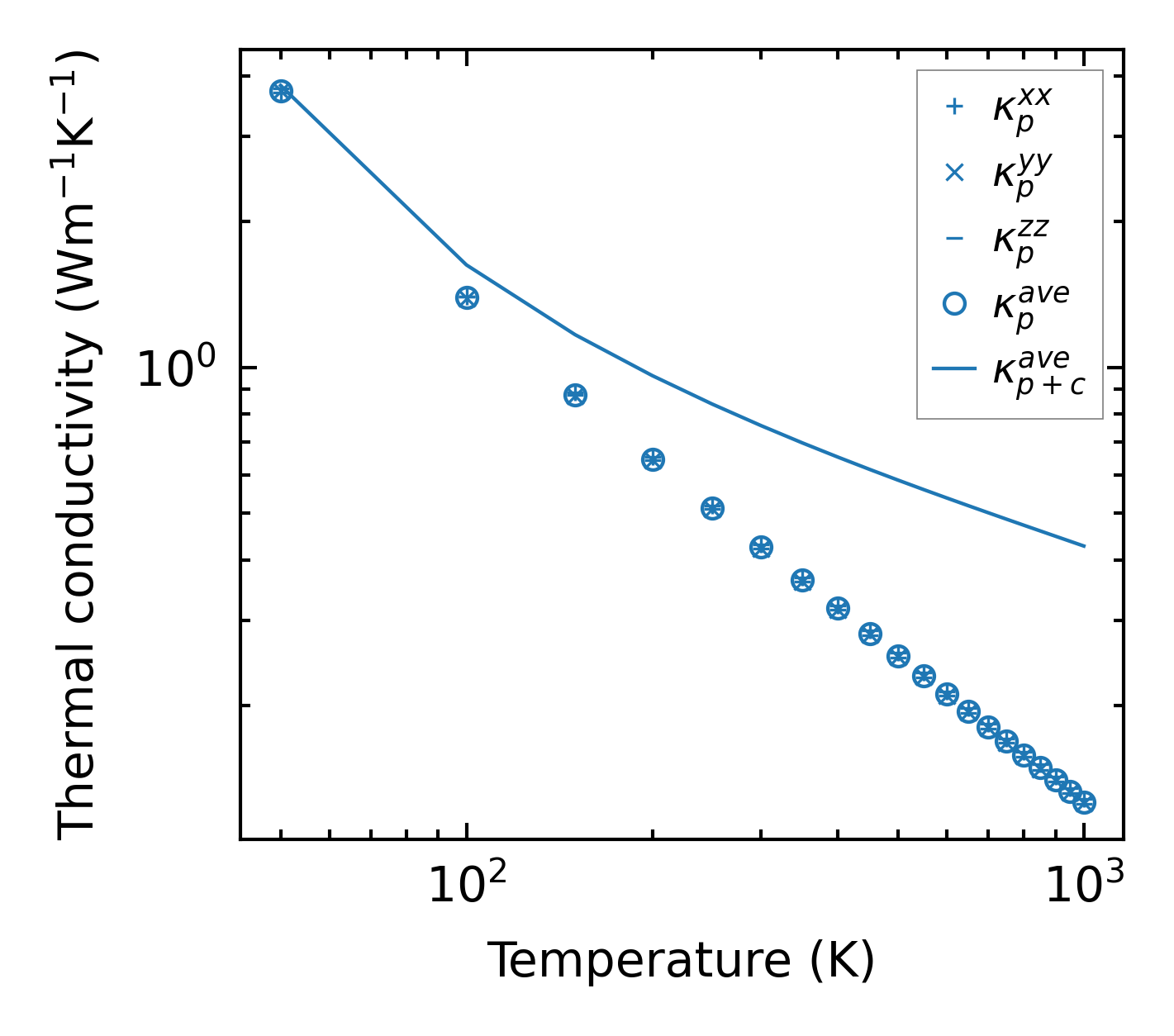
Thermal conductivity

3-phonon (LASSO) — q-mesh: 8x8x4, supercell: 2x1x1

../../_images/fig_kappa2729.png

(a) Temperature-dependent lattice thermal conductivity

../../_images/fig_kappa_vs_grain_size1430.png

(b) Peierls lattice thermal conductivity w.r.t grain size

Phonon lifetime and scattering rates

../../_images/fig_lifetime1404.png

(a) Phonon lifetime due to phonon-phonon scattering

../../_images/fig_scat_rates1403.png

(b) Phonon scattering rates

Cumulative and spectral thermal conductivity

../../_images/fig_cumu_frequency1404.png

(a) Spectral and cumulative thermal conductivity w.r.t frequency

../../_images/fig_cumu_mfp1404.png

(b) Spectral and cumulative thermal conductivity w.r.t MFP

Force constants

../../_images/fig_fc22686.png

(a) Force constants w.r.t atomic distance

Summary

../../_images/fig_kappa2730.png

(a) Temperature-dependent lattice thermal conductivity

../../_images/fig_times4833.png

(b) Computation time