mp-768908/Ho2TeO2/anharm

Harmonic properties

../../_images/fig_bandos_pr2613.png

(a) Phonon dispersion with participation ratio and DOS

../../_images/fig_thermo2613.png

(b) Thermodynamic properties

Grüneisen parameters

../../_images/fig_gru_all1330.png

(a) Grüneisen parameters

../../_images/fig_gruneisen1330.png

(b) Phonon dispersion with Grüneisen parameters

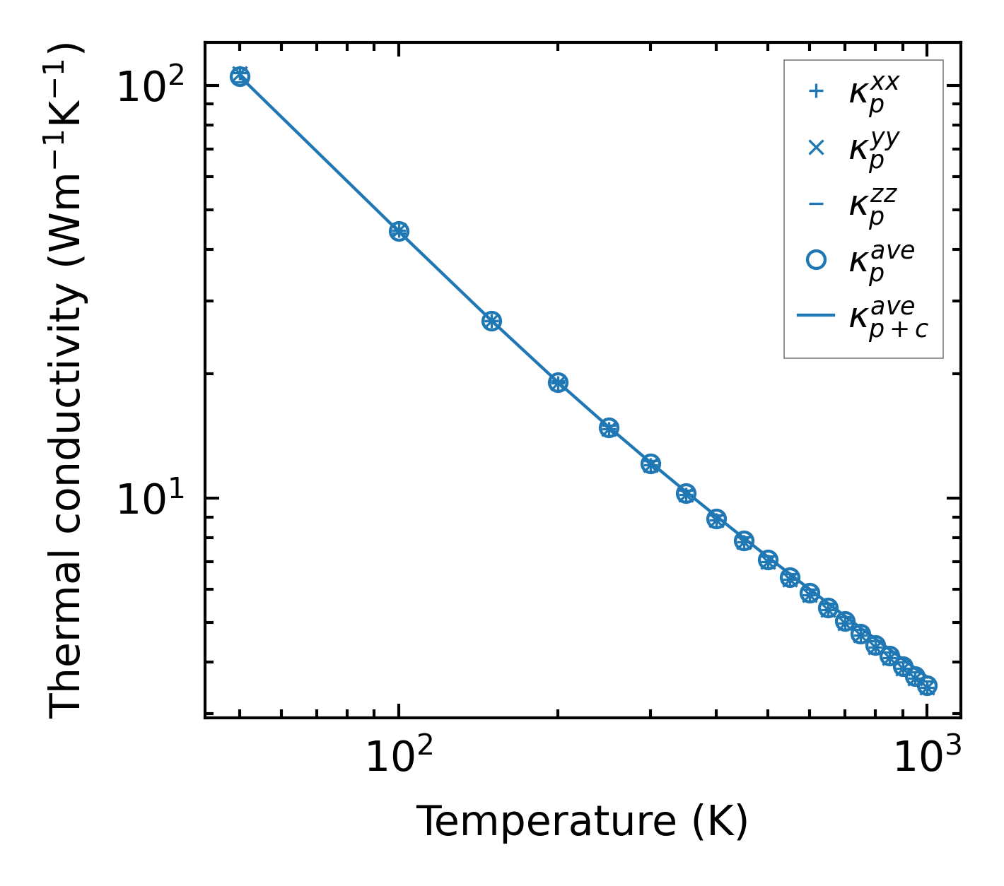
Thermal conductivity

3-phonon (LASSO) — q-mesh: 19x19x10, supercell: 3x3x2

../../_images/fig_kappa2561.png

(a) Temperature-dependent lattice thermal conductivity

../../_images/fig_kappa_vs_grain_size1346.png

(b) Peierls lattice thermal conductivity w.r.t grain size

Phonon lifetime and scattering rates

../../_images/fig_lifetime1320.png

(a) Phonon lifetime due to phonon-phonon scattering

../../_images/fig_scat_rates1319.png

(b) Phonon scattering rates

Cumulative and spectral thermal conductivity

../../_images/fig_cumu_frequency1320.png

(a) Spectral and cumulative thermal conductivity w.r.t frequency

../../_images/fig_cumu_mfp1320.png

(b) Spectral and cumulative thermal conductivity w.r.t MFP

Force constants

../../_images/fig_fc22434.png

(a) Force constants w.r.t atomic distance

Summary

../../_images/fig_kappa2562.png

(a) Temperature-dependent lattice thermal conductivity

../../_images/fig_times4349.png

(b) Computation time