mp-768307-2/BaSO3/anharm

Harmonic properties

../../_images/fig_bandos_pr2830.png

(a) Phonon dispersion with participation ratio and DOS

../../_images/fig_thermo2830.png

(b) Thermodynamic properties

Grüneisen parameters

../../_images/fig_gru_all1397.png

(a) Grüneisen parameters

../../_images/fig_gruneisen1397.png

(b) Phonon dispersion with Grüneisen parameters

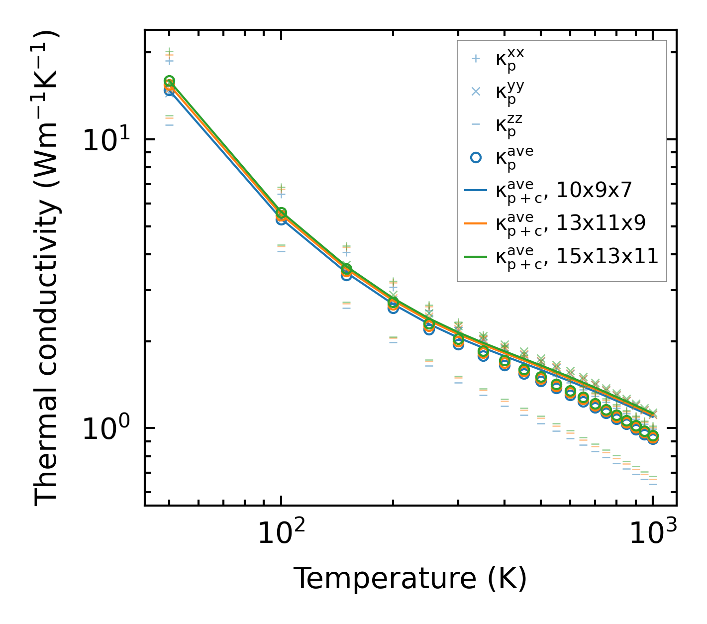
Thermal conductivity

3-phonon (LASSO) — q-mesh: 15x13x11, supercell: 3x2x2

../../_images/fig_kappa2695.png

(a) Temperature-dependent lattice thermal conductivity

../../_images/fig_kappa_vs_grain_size1413.png

(b) Peierls lattice thermal conductivity w.r.t grain size

Phonon lifetime and scattering rates

../../_images/fig_lifetime1387.png

(a) Phonon lifetime due to phonon-phonon scattering

../../_images/fig_scat_rates1386.png

(b) Phonon scattering rates

Cumulative and spectral thermal conductivity

../../_images/fig_cumu_frequency1387.png

(a) Spectral and cumulative thermal conductivity w.r.t frequency

../../_images/fig_cumu_mfp1387.png

(b) Spectral and cumulative thermal conductivity w.r.t MFP

Force constants

../../_images/fig_fc22651.png

(a) Force constants w.r.t atomic distance

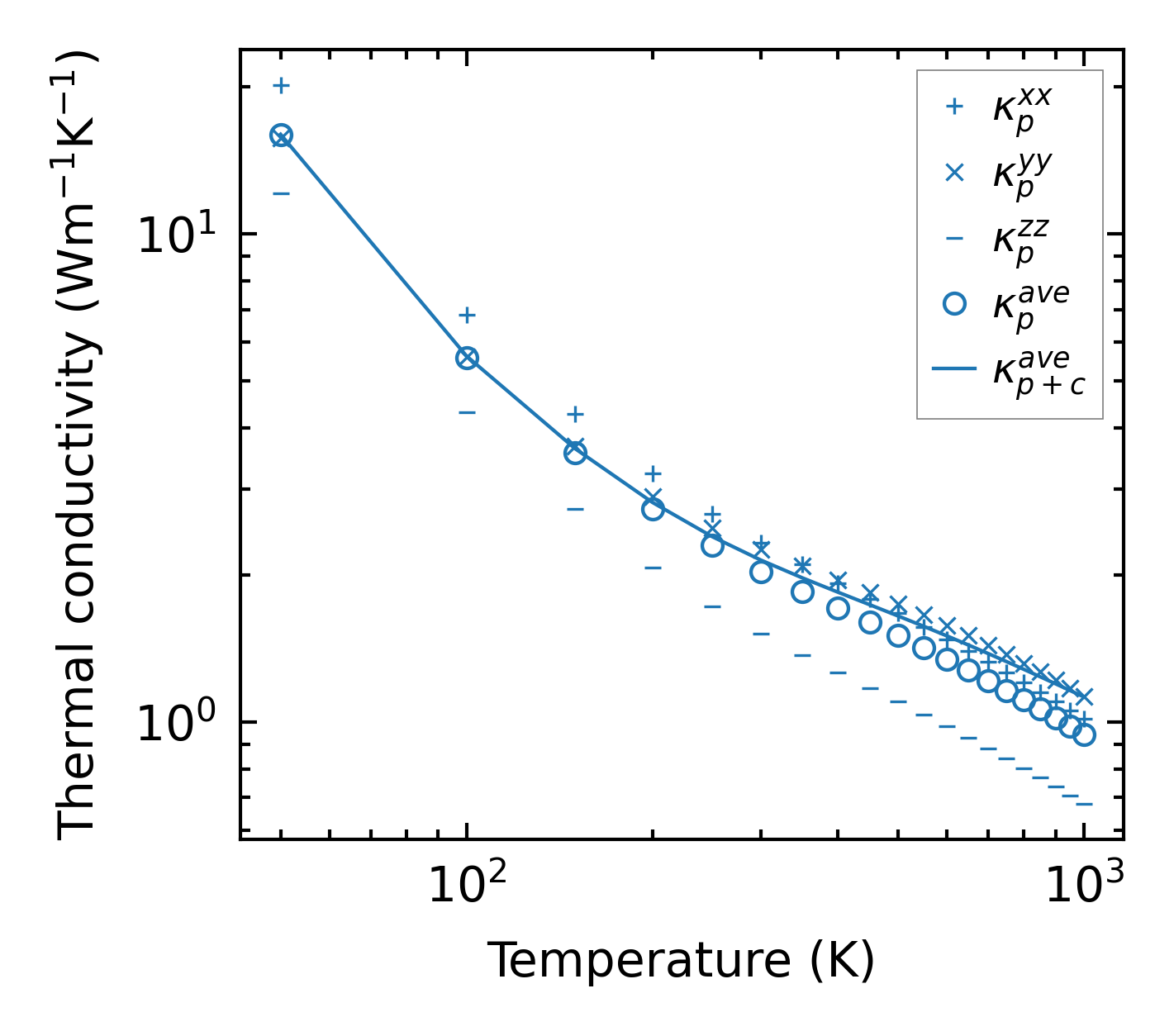
Summary

../../_images/fig_kappa2696.png

(a) Temperature-dependent lattice thermal conductivity

../../_images/fig_times4768.png

(b) Computation time