mp-768422/TmHO2/anharm

Harmonic properties

../../_images/fig_bandos_pr2845.png

(a) Phonon dispersion with participation ratio and DOS

../../_images/fig_thermo2845.png

(b) Thermodynamic properties

Grüneisen parameters

../../_images/fig_gru_all1404.png

(a) Grüneisen parameters

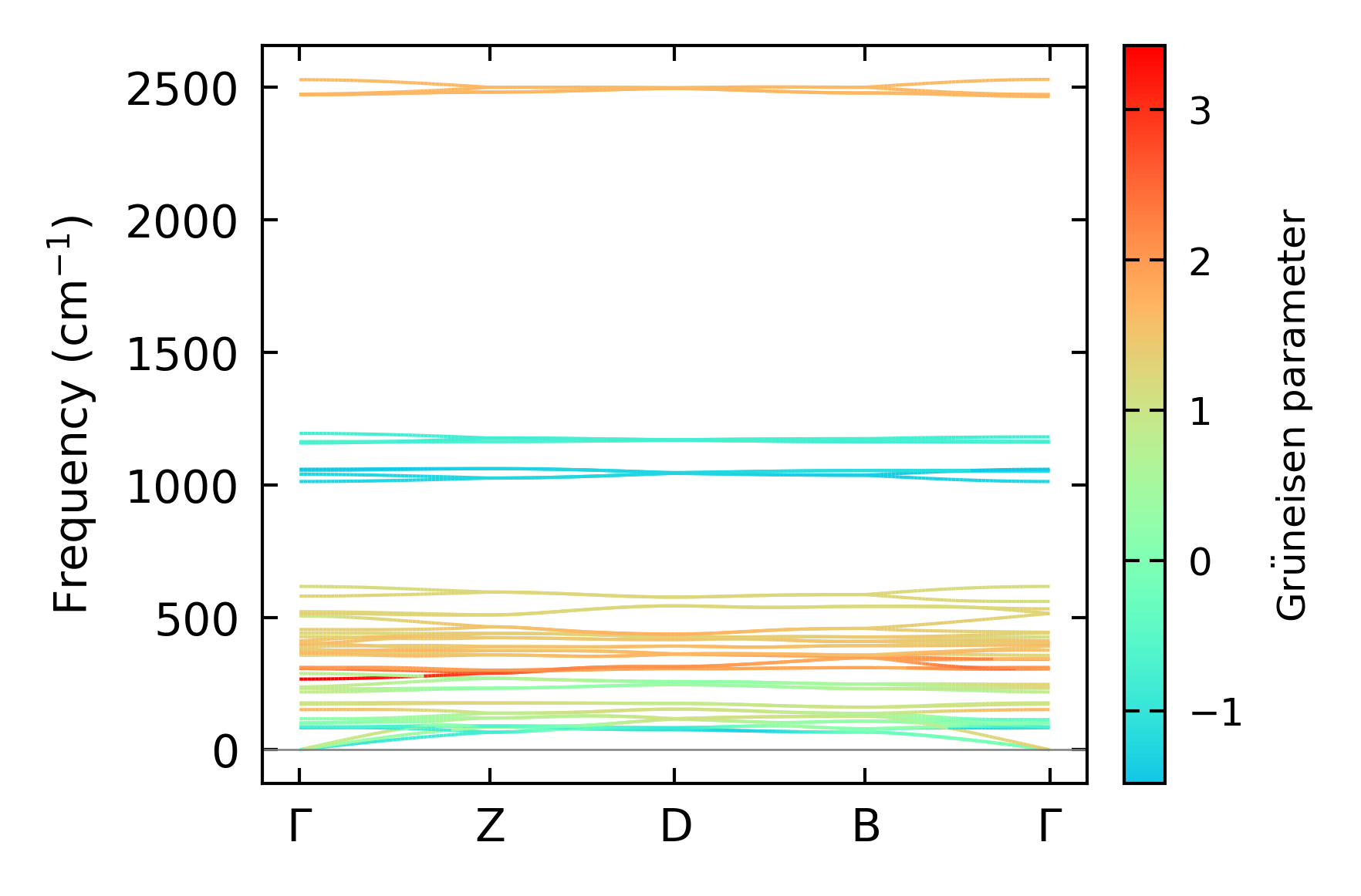
../../_images/fig_gruneisen1404.png

(b) Phonon dispersion with Grüneisen parameters

Thermal conductivity

3-phonon (LASSO) — q-mesh: 12x13x12, supercell: 2x2x2

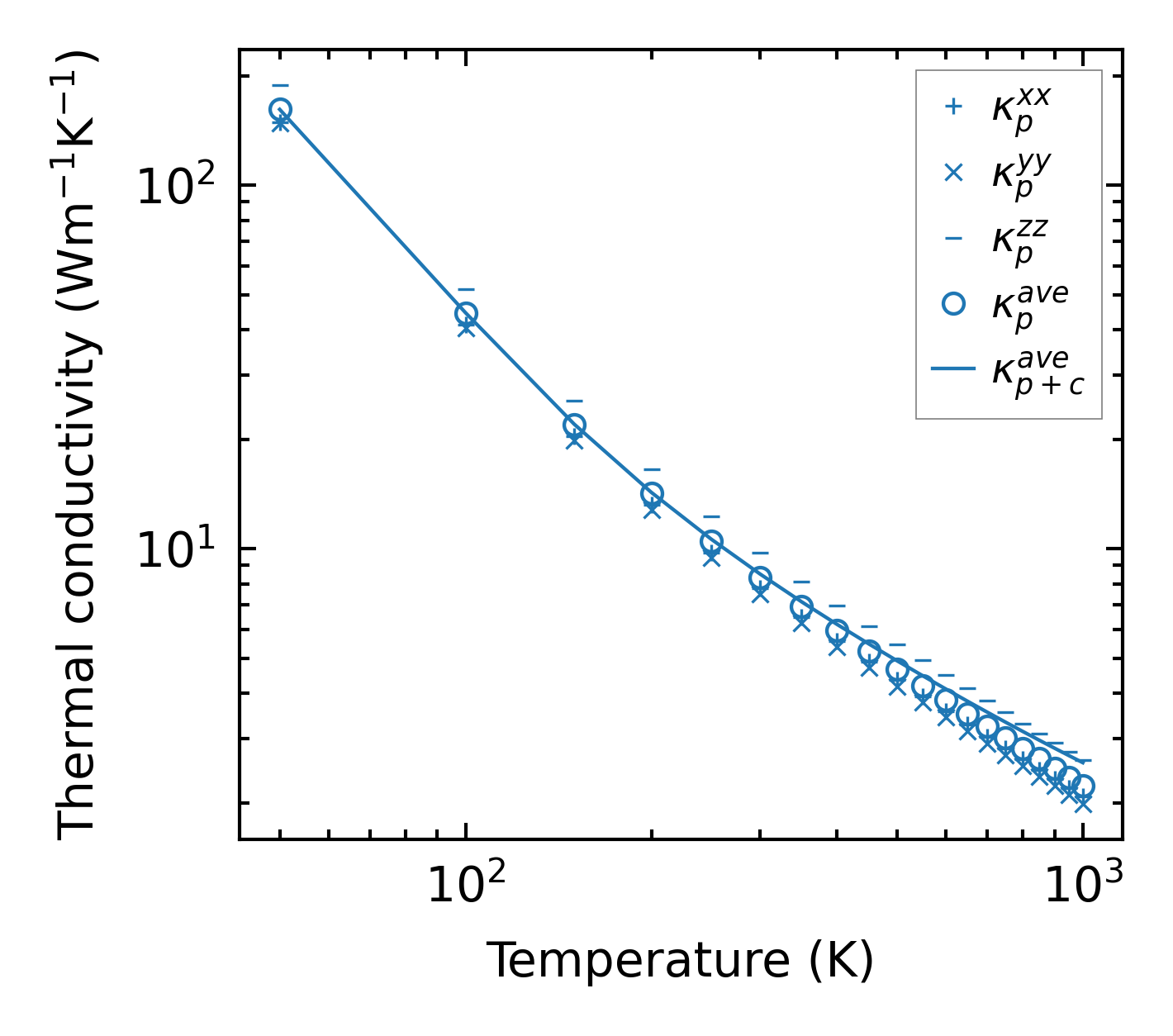
../../_images/fig_kappa2709.png

(a) Temperature-dependent lattice thermal conductivity

../../_images/fig_kappa_vs_grain_size1420.png

(b) Peierls lattice thermal conductivity w.r.t grain size

Phonon lifetime and scattering rates

../../_images/fig_lifetime1394.png

(a) Phonon lifetime due to phonon-phonon scattering

../../_images/fig_scat_rates1393.png

(b) Phonon scattering rates

Cumulative and spectral thermal conductivity

../../_images/fig_cumu_frequency1394.png

(a) Spectral and cumulative thermal conductivity w.r.t frequency

../../_images/fig_cumu_mfp1394.png

(b) Spectral and cumulative thermal conductivity w.r.t MFP

Force constants

../../_images/fig_fc22666.png

(a) Force constants w.r.t atomic distance

Summary

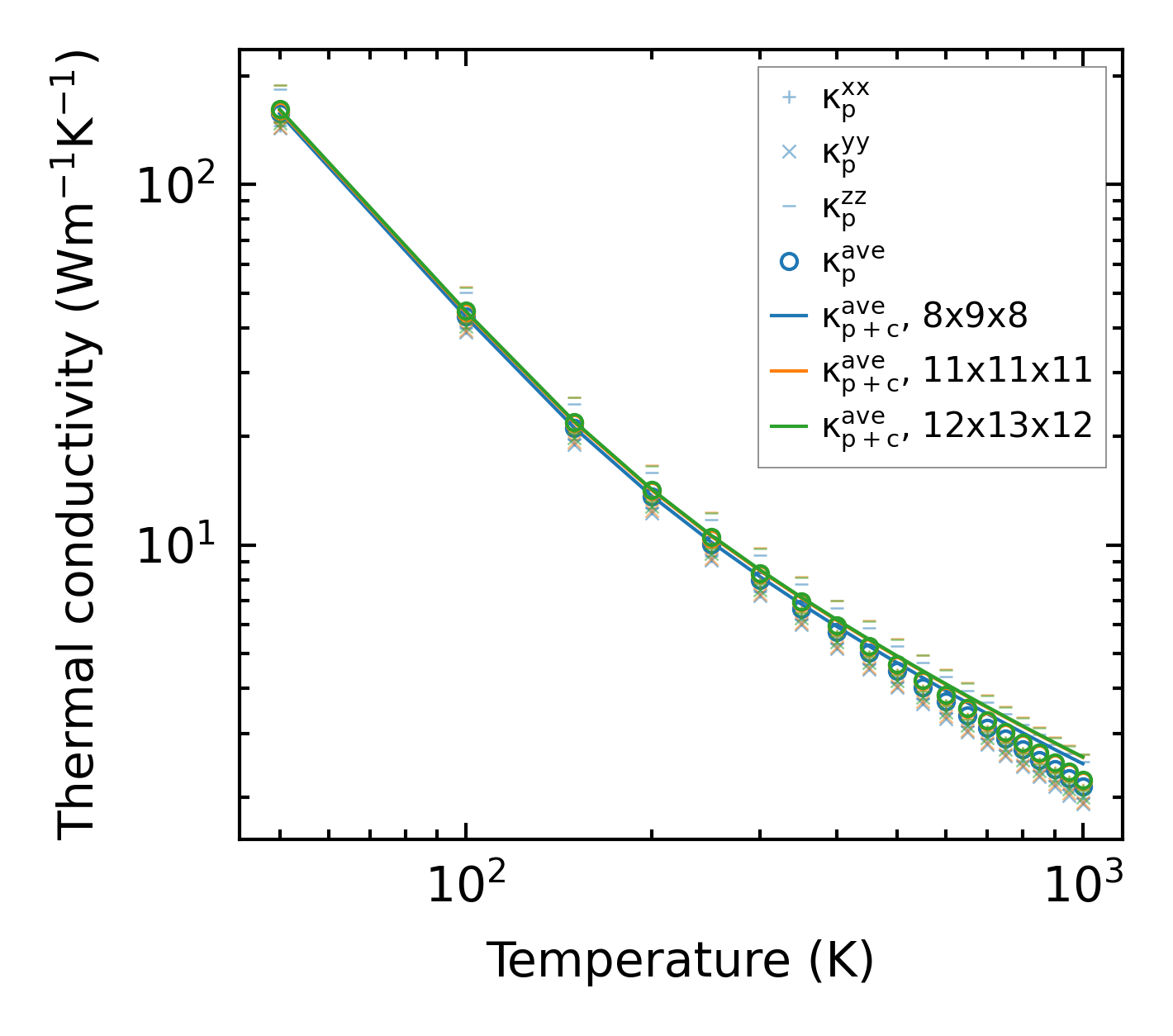
../../_images/fig_kappa2710.png

(a) Temperature-dependent lattice thermal conductivity

../../_images/fig_times4795.png

(b) Computation time