mp-768208/Li3SbS4/anharm

Harmonic properties

../../_images/fig_bandos_pr2812.png

(a) Phonon dispersion with participation ratio and DOS

../../_images/fig_thermo2812.png

(b) Thermodynamic properties

Grüneisen parameters

../../_images/fig_gru_all1389.png

(a) Grüneisen parameters

../../_images/fig_gruneisen1389.png

(b) Phonon dispersion with Grüneisen parameters

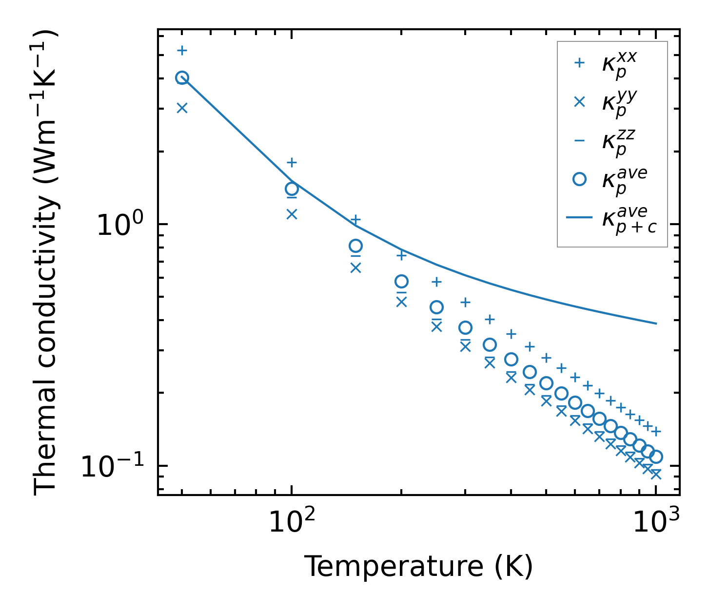
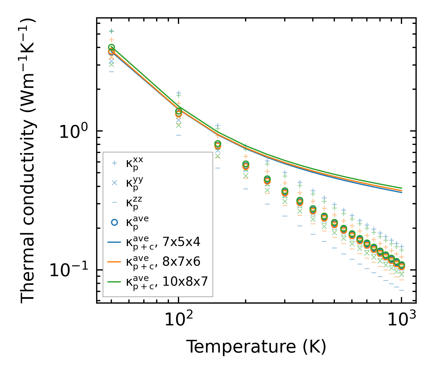
Thermal conductivity

3-phonon (LASSO) — q-mesh: 10x8x7, supercell: 2x2x1

../../_images/fig_kappa2679.png

(a) Temperature-dependent lattice thermal conductivity

../../_images/fig_kappa_vs_grain_size1405.png

(b) Peierls lattice thermal conductivity w.r.t grain size

Phonon lifetime and scattering rates

../../_images/fig_lifetime1379.png

(a) Phonon lifetime due to phonon-phonon scattering

../../_images/fig_scat_rates1378.png

(b) Phonon scattering rates

Cumulative and spectral thermal conductivity

../../_images/fig_cumu_frequency1379.png

(a) Spectral and cumulative thermal conductivity w.r.t frequency

../../_images/fig_cumu_mfp1379.png

(b) Spectral and cumulative thermal conductivity w.r.t MFP

Force constants

../../_images/fig_fc22633.png

(a) Force constants w.r.t atomic distance

Summary

../../_images/fig_kappa2680.png

(a) Temperature-dependent lattice thermal conductivity

../../_images/fig_times4739.png

(b) Computation time