mp-768353/YTmO3/anharm

Harmonic properties

../../_images/fig_bandos_pr2839.png

(a) Phonon dispersion with participation ratio and DOS

../../_images/fig_bandos3522.png

(b) Phonon dispersion and DOS

../../_images/fig_thermo2839.png

(c) Thermodynamic properties

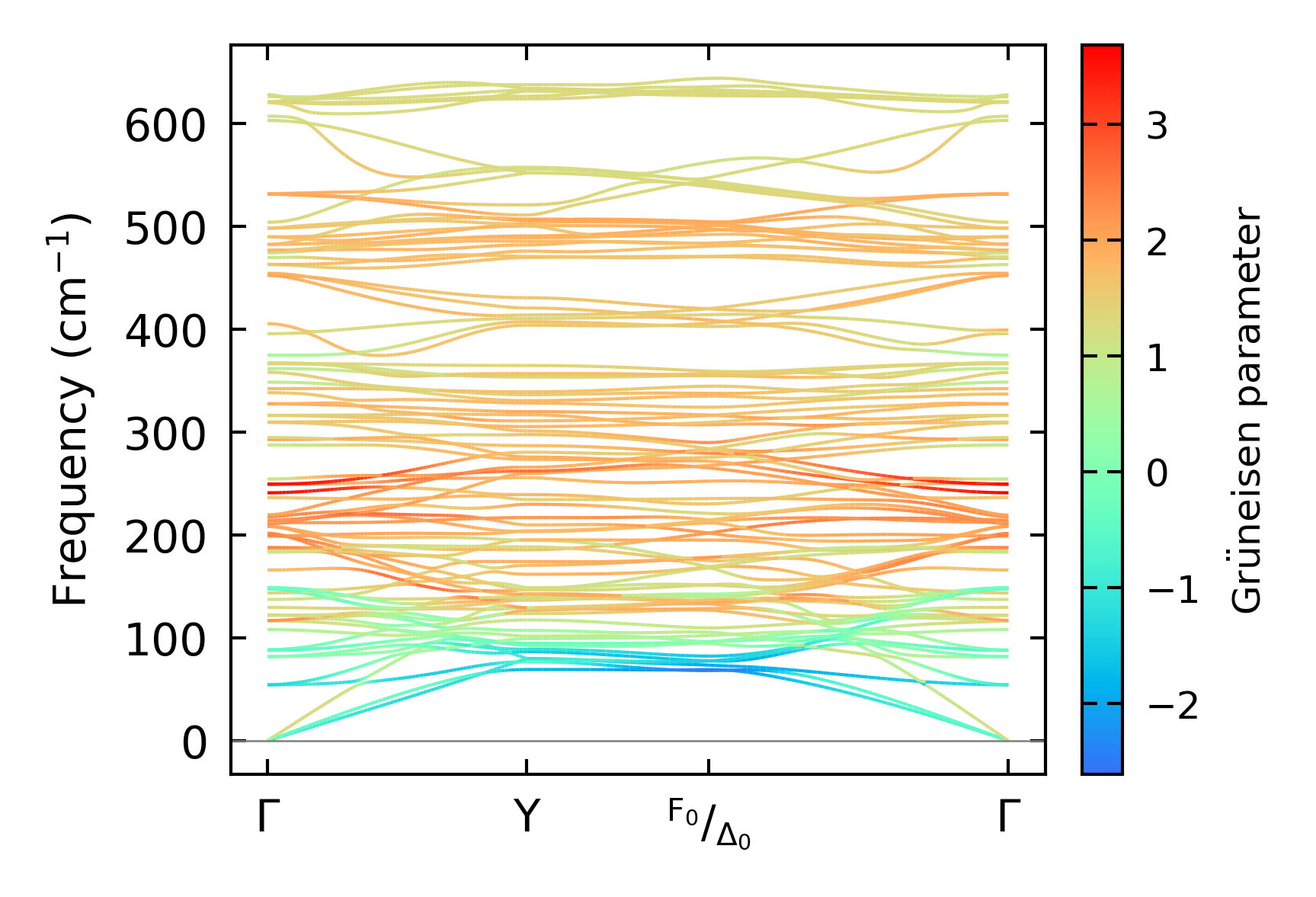
Grüneisen parameters

../../_images/fig_gru_all1401.png

(a) Grüneisen parameters

../../_images/fig_gruneisen1401.png

(b) Phonon dispersion with Grüneisen parameters

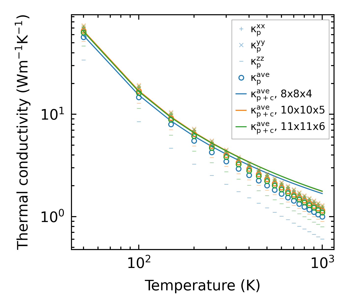
Thermal conductivity

3-phonon (LASSO) — q-mesh: 11x11x6, supercell: 1x2x1

../../_images/fig_kappa2703.png

(a) Temperature-dependent lattice thermal conductivity

../../_images/fig_kappa_vs_grain_size1417.png

(b) Peierls lattice thermal conductivity w.r.t grain size

Phonon lifetime and scattering rates

../../_images/fig_lifetime1391.png

(a) Phonon lifetime due to phonon-phonon scattering

../../_images/fig_scat_rates1390.png

(b) Phonon scattering rates

Cumulative and spectral thermal conductivity

../../_images/fig_cumu_frequency1391.png

(a) Spectral and cumulative thermal conductivity w.r.t frequency

../../_images/fig_cumu_mfp1391.png

(b) Spectral and cumulative thermal conductivity w.r.t MFP

Force constants

../../_images/fig_fc22660.png

(a) Force constants w.r.t atomic distance

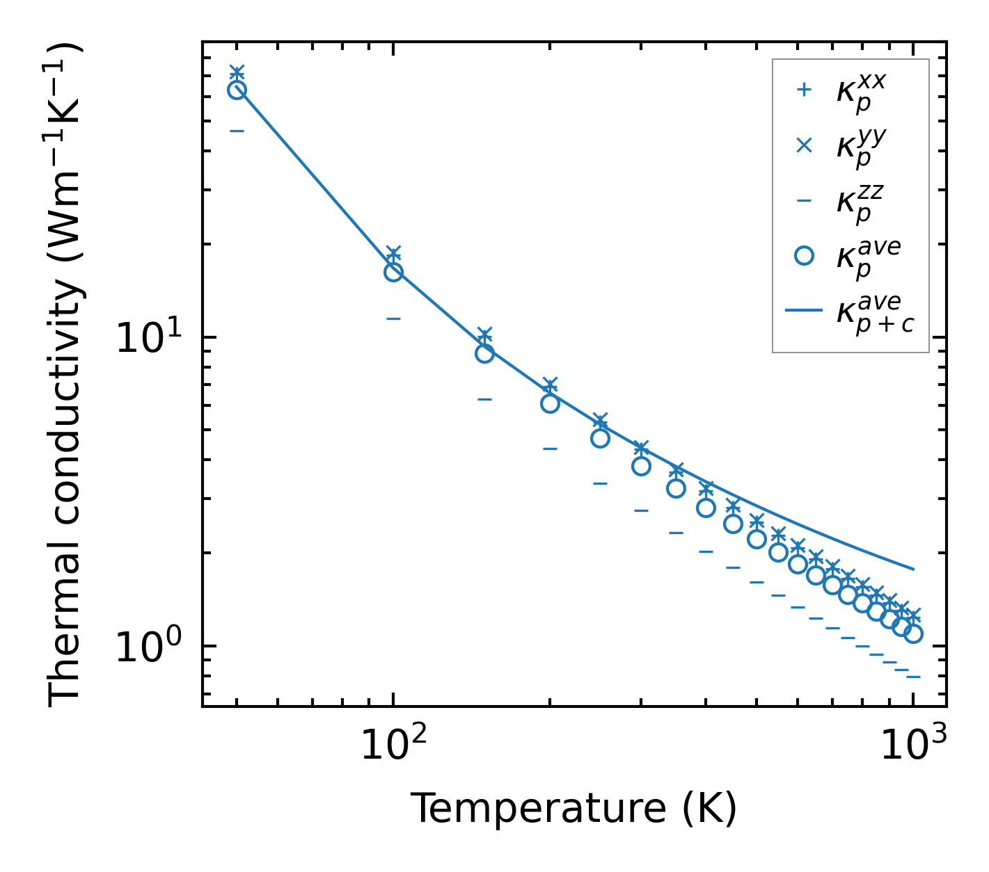
Summary

../../_images/fig_kappa2704.png

(a) Temperature-dependent lattice thermal conductivity

../../_images/fig_times4781.png

(b) Computation time