mp-768145/DyHoO3/anharm

Harmonic properties

../../_images/fig_bandos_pr2797.png

(a) Phonon dispersion with participation ratio and DOS

../../_images/fig_bandos3472.png

(b) Phonon dispersion and DOS

../../_images/fig_thermo2797.png

(c) Thermodynamic properties

Grüneisen parameters

../../_images/fig_gru_all1384.png

(a) Grüneisen parameters

../../_images/fig_gruneisen1384.png

(b) Phonon dispersion with Grüneisen parameters

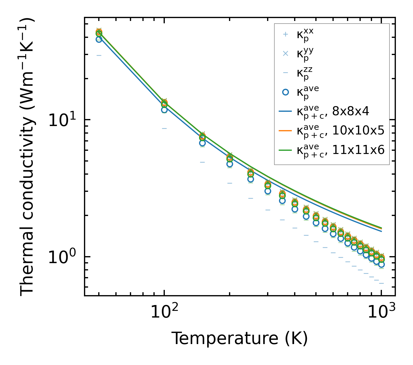
Thermal conductivity

3-phonon (LASSO) — q-mesh: 11x11x6, supercell: 1x2x1

../../_images/fig_kappa2669.png

(a) Temperature-dependent lattice thermal conductivity

../../_images/fig_kappa_vs_grain_size1400.png

(b) Peierls lattice thermal conductivity w.r.t grain size

Phonon lifetime and scattering rates

../../_images/fig_lifetime1374.png

(a) Phonon lifetime due to phonon-phonon scattering

../../_images/fig_scat_rates1373.png

(b) Phonon scattering rates

Cumulative and spectral thermal conductivity

../../_images/fig_cumu_frequency1374.png

(a) Spectral and cumulative thermal conductivity w.r.t frequency

../../_images/fig_cumu_mfp1374.png

(b) Spectral and cumulative thermal conductivity w.r.t MFP

Force constants

../../_images/fig_fc22618.png

(a) Force constants w.r.t atomic distance

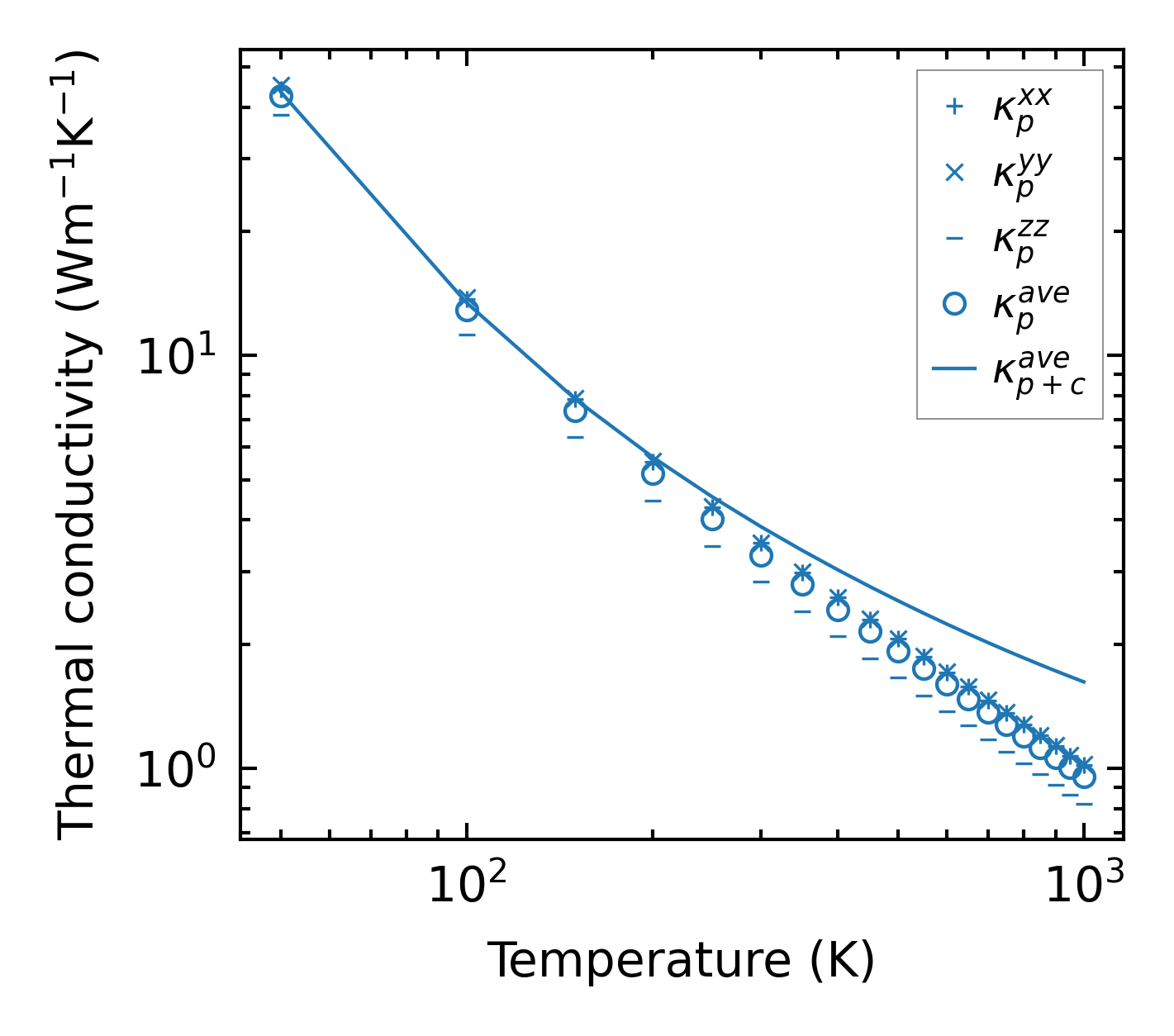
Summary

../../_images/fig_kappa2670.png

(a) Temperature-dependent lattice thermal conductivity

../../_images/fig_times4716.png

(b) Computation time