mp-768368/K4I2O/anharm

Harmonic properties

../../_images/fig_bandos_pr2841.png

(a) Phonon dispersion with participation ratio and DOS

../../_images/fig_thermo2841.png

(b) Thermodynamic properties

Grüneisen parameters

../../_images/fig_gru_all1403.png

(a) Grüneisen parameters

../../_images/fig_gruneisen1403.png

(b) Phonon dispersion with Grüneisen parameters

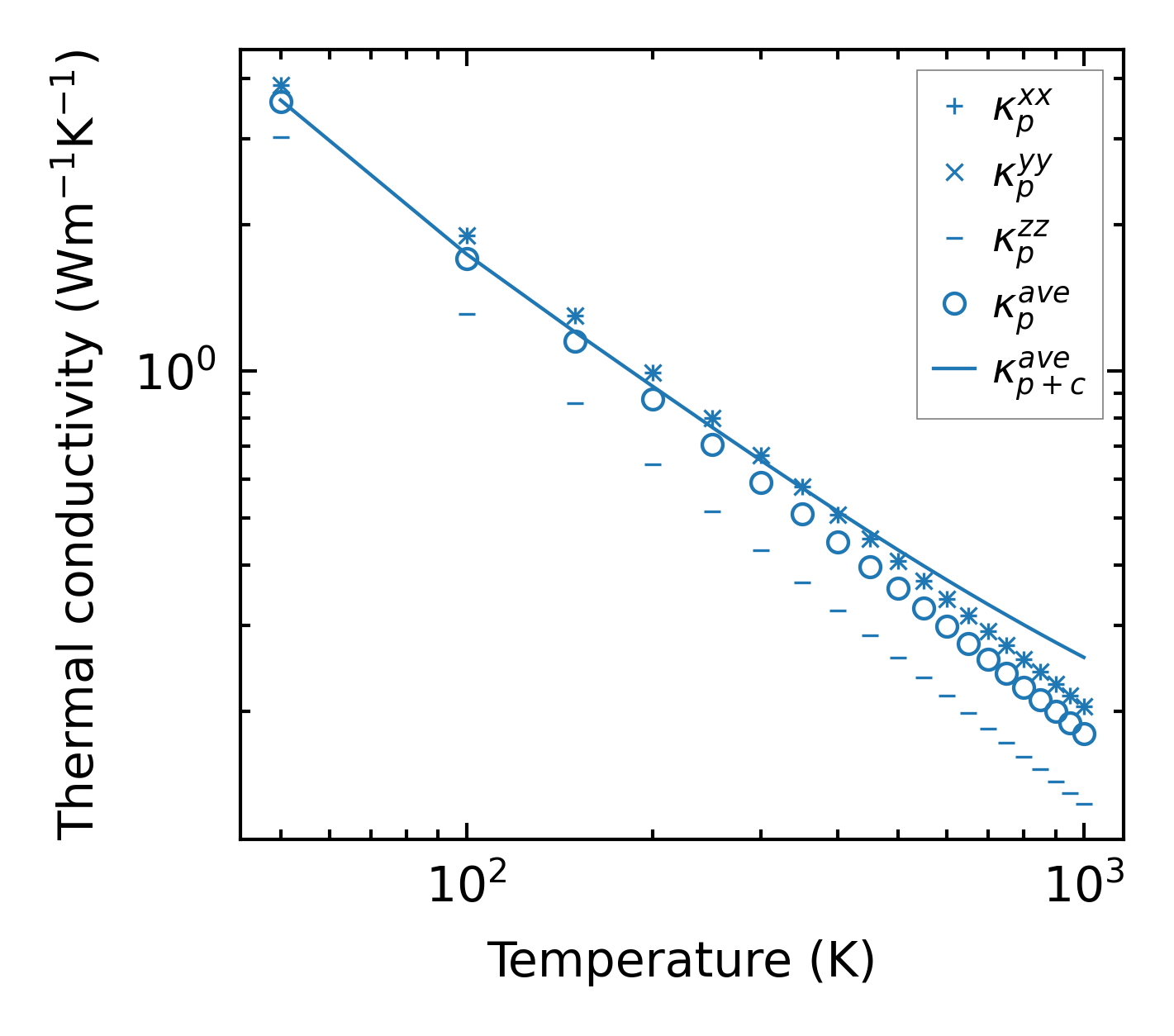
Thermal conductivity

3-phonon (LASSO) — q-mesh: 11x11x11, supercell: 3x3x1

../../_images/fig_kappa2707.png

(a) Temperature-dependent lattice thermal conductivity

../../_images/fig_kappa_vs_grain_size1419.png

(b) Peierls lattice thermal conductivity w.r.t grain size

Phonon lifetime and scattering rates

../../_images/fig_lifetime1393.png

(a) Phonon lifetime due to phonon-phonon scattering

../../_images/fig_scat_rates1392.png

(b) Phonon scattering rates

Cumulative and spectral thermal conductivity

../../_images/fig_cumu_frequency1393.png

(a) Spectral and cumulative thermal conductivity w.r.t frequency

../../_images/fig_cumu_mfp1393.png

(b) Spectral and cumulative thermal conductivity w.r.t MFP

Force constants

../../_images/fig_fc22662.png

(a) Force constants w.r.t atomic distance

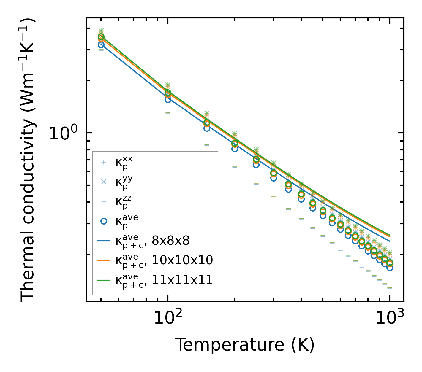
Summary

../../_images/fig_kappa2708.png

(a) Temperature-dependent lattice thermal conductivity

../../_images/fig_times4785.png

(b) Computation time