mp-768240/BaY2F8/anharm

Harmonic properties

../../_images/fig_bandos_pr2818.png

(a) Phonon dispersion with participation ratio and DOS

../../_images/fig_thermo2818.png

(b) Thermodynamic properties

Grüneisen parameters

../../_images/fig_gru_all1390.png

(a) Grüneisen parameters

../../_images/fig_gruneisen1390.png

(b) Phonon dispersion with Grüneisen parameters

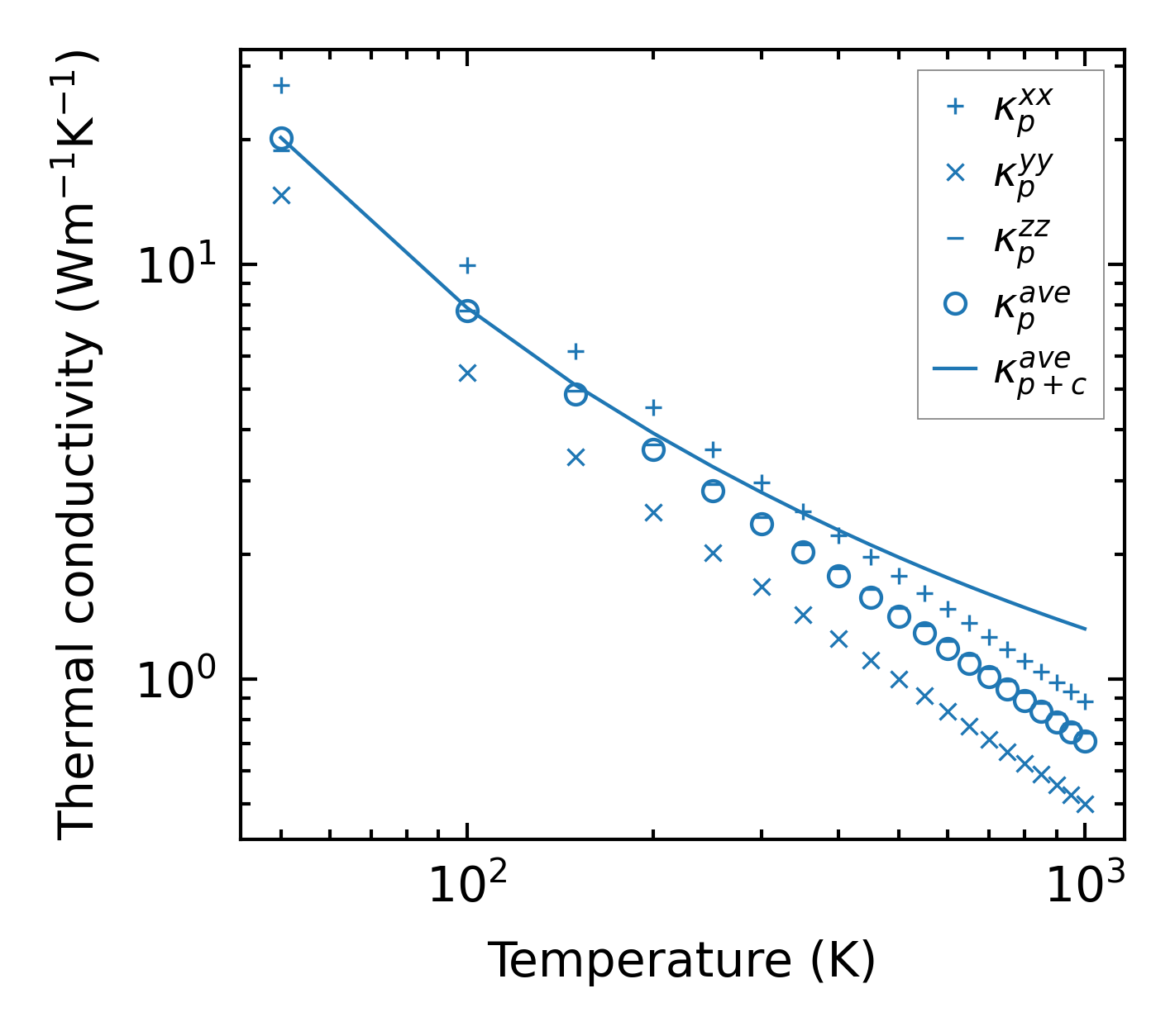
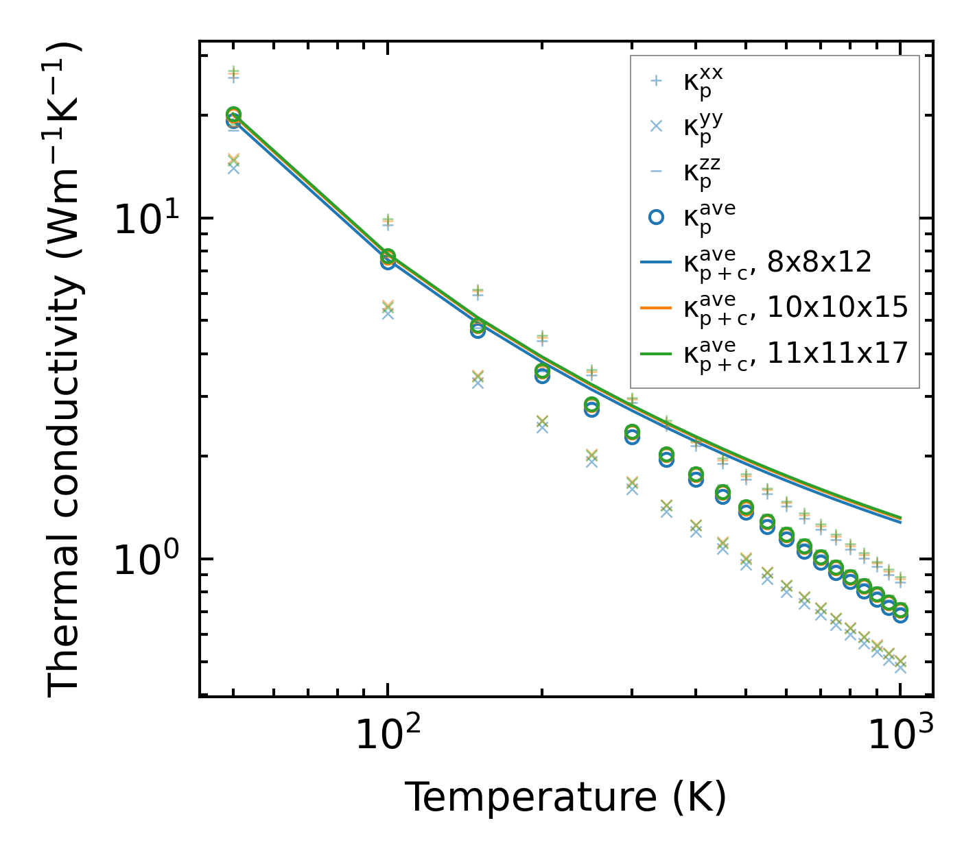
Thermal conductivity

3-phonon (LASSO) — q-mesh: 11x11x17, supercell: 2x1x3

../../_images/fig_kappa2681.png

(a) Temperature-dependent lattice thermal conductivity

../../_images/fig_kappa_vs_grain_size1406.png

(b) Peierls lattice thermal conductivity w.r.t grain size

Phonon lifetime and scattering rates

../../_images/fig_lifetime1380.png

(a) Phonon lifetime due to phonon-phonon scattering

../../_images/fig_scat_rates1379.png

(b) Phonon scattering rates

Cumulative and spectral thermal conductivity

../../_images/fig_cumu_frequency1380.png

(a) Spectral and cumulative thermal conductivity w.r.t frequency

../../_images/fig_cumu_mfp1380.png

(b) Spectral and cumulative thermal conductivity w.r.t MFP

Force constants

../../_images/fig_fc22639.png

(a) Force constants w.r.t atomic distance

Summary

../../_images/fig_kappa2682.png

(a) Temperature-dependent lattice thermal conductivity

../../_images/fig_times4750.png

(b) Computation time