mp-768941/Sr3TeO6/anharm

Harmonic properties

../../_images/fig_bandos_pr2618.png

(a) Phonon dispersion with participation ratio and DOS

../../_images/fig_thermo2618.png

(b) Thermodynamic properties

Grüneisen parameters

../../_images/fig_gru_all1331.png

(a) Grüneisen parameters

../../_images/fig_gruneisen1331.png

(b) Phonon dispersion with Grüneisen parameters

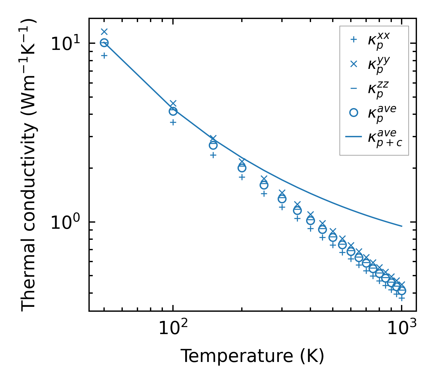
Thermal conductivity

3-phonon (LASSO) — q-mesh: 13x12x7, supercell: 2x2x1

../../_images/fig_kappa2563.png

(a) Temperature-dependent lattice thermal conductivity

../../_images/fig_kappa_vs_grain_size1347.png

(b) Peierls lattice thermal conductivity w.r.t grain size

Phonon lifetime and scattering rates

../../_images/fig_lifetime1321.png

(a) Phonon lifetime due to phonon-phonon scattering

../../_images/fig_scat_rates1320.png

(b) Phonon scattering rates

Cumulative and spectral thermal conductivity

../../_images/fig_cumu_frequency1321.png

(a) Spectral and cumulative thermal conductivity w.r.t frequency

../../_images/fig_cumu_mfp1321.png

(b) Spectral and cumulative thermal conductivity w.r.t MFP

Force constants

../../_images/fig_fc22439.png

(a) Force constants w.r.t atomic distance

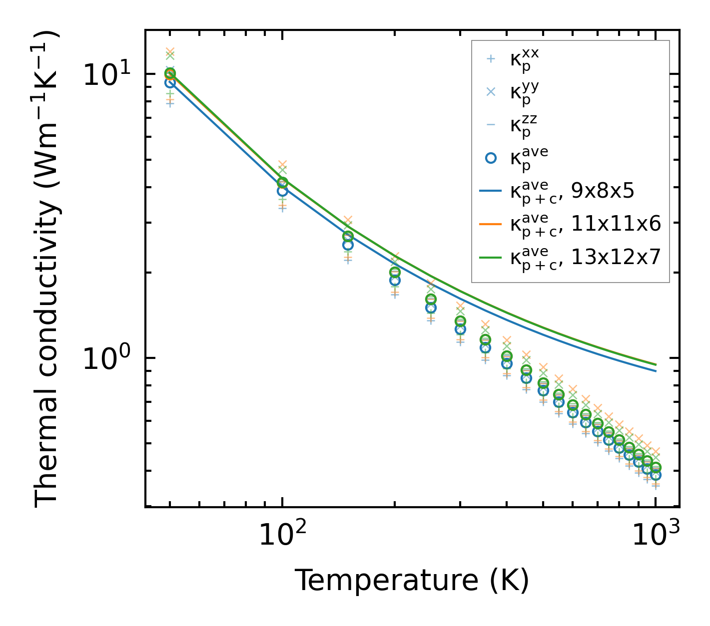
Summary

../../_images/fig_kappa2564.png

(a) Temperature-dependent lattice thermal conductivity

../../_images/fig_times4357.png

(b) Computation time