mp-768638/Dy3Sb5O12/anharm

Harmonic properties

../../_images/fig_bandos3563.png

(a) Phonon dispersion and DOS

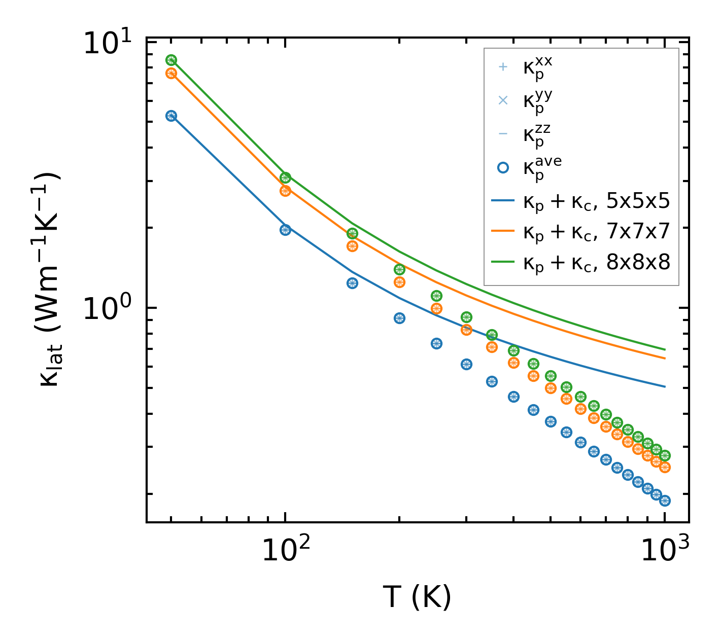
Thermal conductivity

Summary

../../_images/fig_kappa2731.png

(a) Temperature-dependent lattice thermal conductivity

../../_images/fig_times4835.png

(b) Computation time