mp-768315/MgI2O6/anharm

Harmonic properties

../../_images/fig_bandos_pr2833.png

(a) Phonon dispersion with participation ratio and DOS

../../_images/fig_thermo2833.png

(b) Thermodynamic properties

Grüneisen parameters

../../_images/fig_gru_all1398.png

(a) Grüneisen parameters

../../_images/fig_gruneisen1398.png

(b) Phonon dispersion with Grüneisen parameters

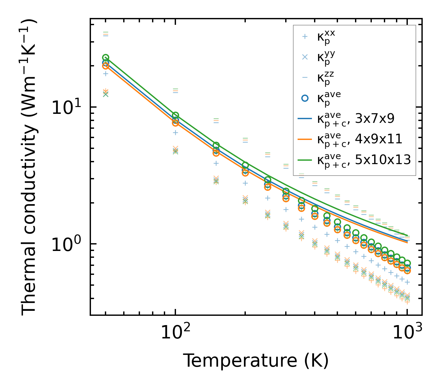
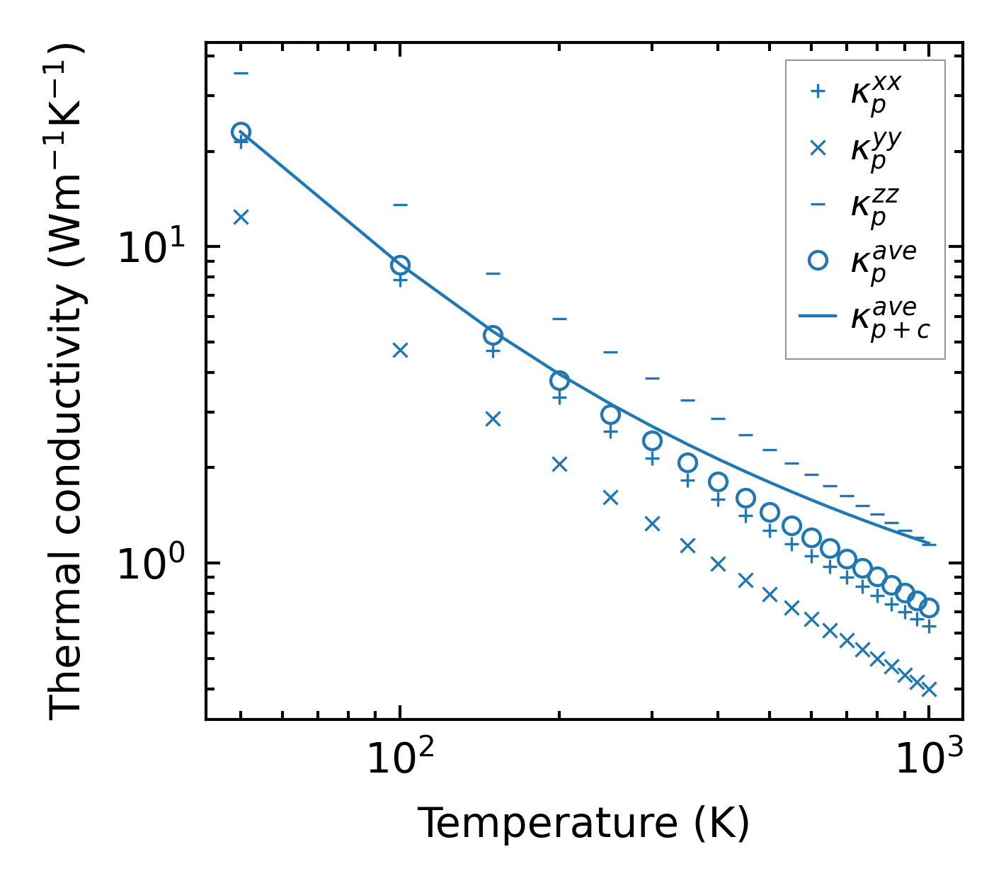
Thermal conductivity

3-phonon (LASSO) — q-mesh: 5x10x13, supercell: 1x2x2

../../_images/fig_kappa2697.png

(a) Temperature-dependent lattice thermal conductivity

../../_images/fig_kappa_vs_grain_size1414.png

(b) Peierls lattice thermal conductivity w.r.t grain size

Phonon lifetime and scattering rates

../../_images/fig_lifetime1388.png

(a) Phonon lifetime due to phonon-phonon scattering

../../_images/fig_scat_rates1387.png

(b) Phonon scattering rates

Cumulative and spectral thermal conductivity

../../_images/fig_cumu_frequency1388.png

(a) Spectral and cumulative thermal conductivity w.r.t frequency

../../_images/fig_cumu_mfp1388.png

(b) Spectral and cumulative thermal conductivity w.r.t MFP

Force constants

../../_images/fig_fc22654.png

(a) Force constants w.r.t atomic distance

Summary

../../_images/fig_kappa2698.png

(a) Temperature-dependent lattice thermal conductivity

../../_images/fig_times4772.png

(b) Computation time