mp-768149/DyInO3/anharm

Harmonic properties

../../_images/fig_bandos_pr2799.png

(a) Phonon dispersion with participation ratio and DOS

../../_images/fig_thermo2799.png

(b) Thermodynamic properties

Grüneisen parameters

../../_images/fig_gru_all1385.png

(a) Grüneisen parameters

../../_images/fig_gruneisen1385.png

(b) Phonon dispersion with Grüneisen parameters

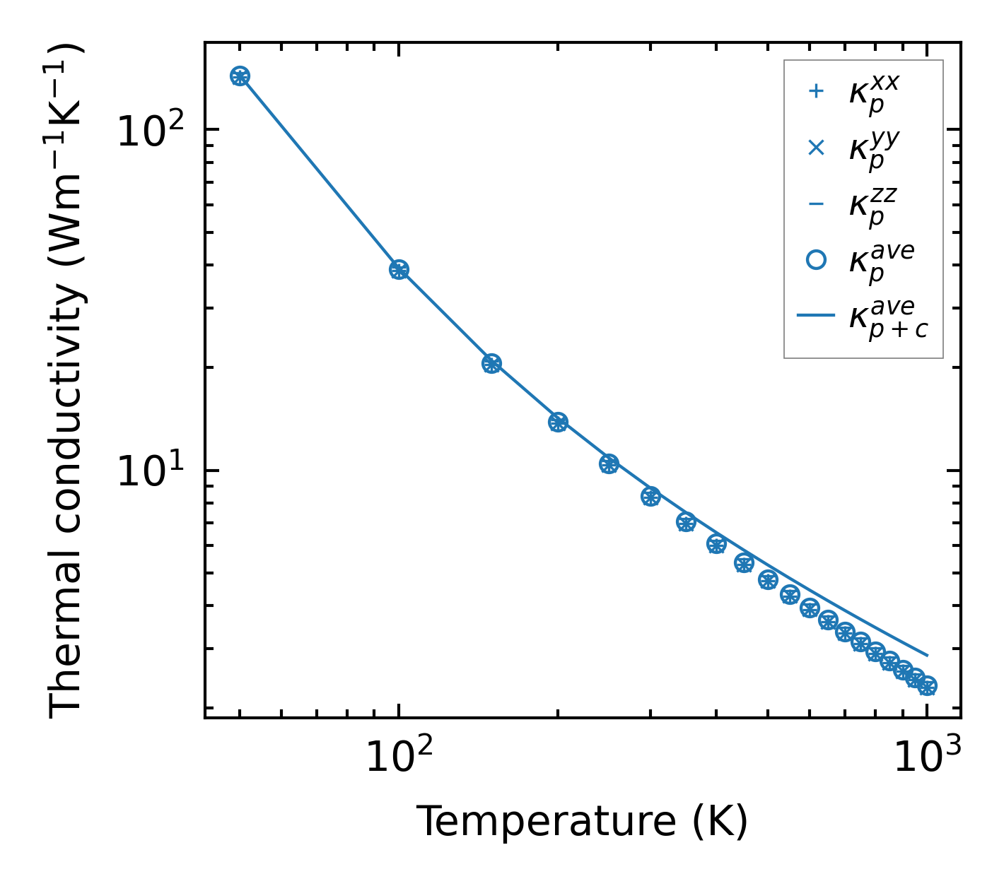
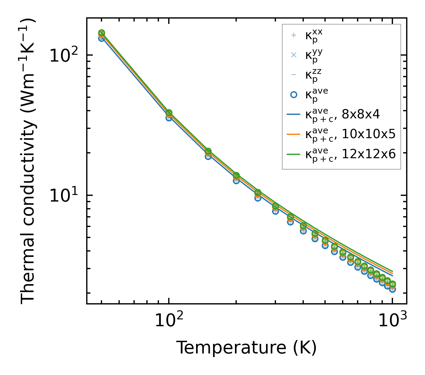
Thermal conductivity

3-phonon (LASSO) — q-mesh: 12x12x6, supercell: 2x2x1

../../_images/fig_kappa2671.png

(a) Temperature-dependent lattice thermal conductivity

../../_images/fig_kappa_vs_grain_size1401.png

(b) Peierls lattice thermal conductivity w.r.t grain size

Phonon lifetime and scattering rates

../../_images/fig_lifetime1375.png

(a) Phonon lifetime due to phonon-phonon scattering

../../_images/fig_scat_rates1374.png

(b) Phonon scattering rates

Cumulative and spectral thermal conductivity

../../_images/fig_cumu_frequency1375.png

(a) Spectral and cumulative thermal conductivity w.r.t frequency

../../_images/fig_cumu_mfp1375.png

(b) Spectral and cumulative thermal conductivity w.r.t MFP

Force constants

../../_images/fig_fc22620.png

(a) Force constants w.r.t atomic distance

Summary

../../_images/fig_kappa2672.png

(a) Temperature-dependent lattice thermal conductivity

../../_images/fig_times4719.png

(b) Computation time