mp-643989/KHCO2/anharm

Harmonic properties

../../_images/fig_bandos_pr5542.png

(a) Phonon dispersion with participation ratio and DOS

../../_images/fig_thermo5542.png

(b) Thermodynamic properties

Grüneisen parameters

../../_images/fig_gru_all2315.png

(a) Grüneisen parameters

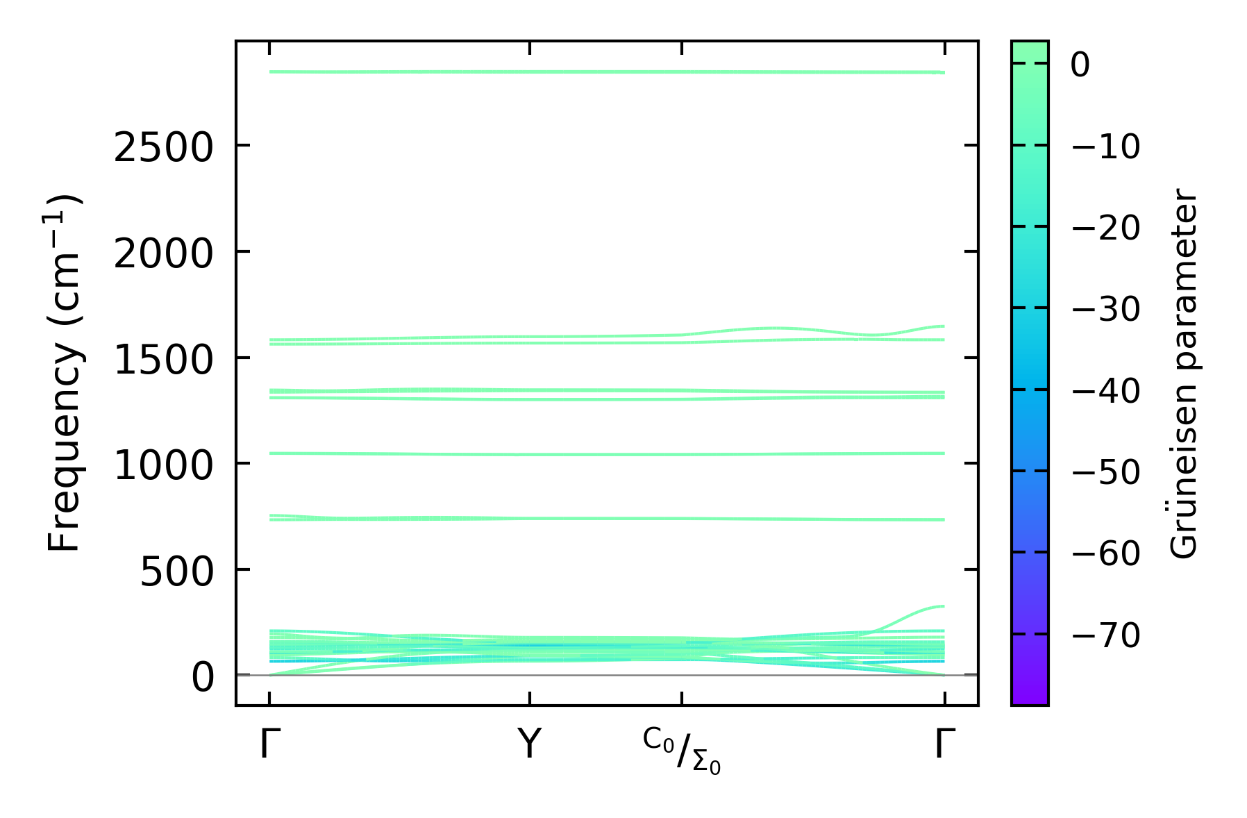
../../_images/fig_gruneisen2315.png

(b) Phonon dispersion with Grüneisen parameters

Thermal conductivity

3-phonon (LASSO) — q-mesh: 16x16x10, supercell: 2x2x1

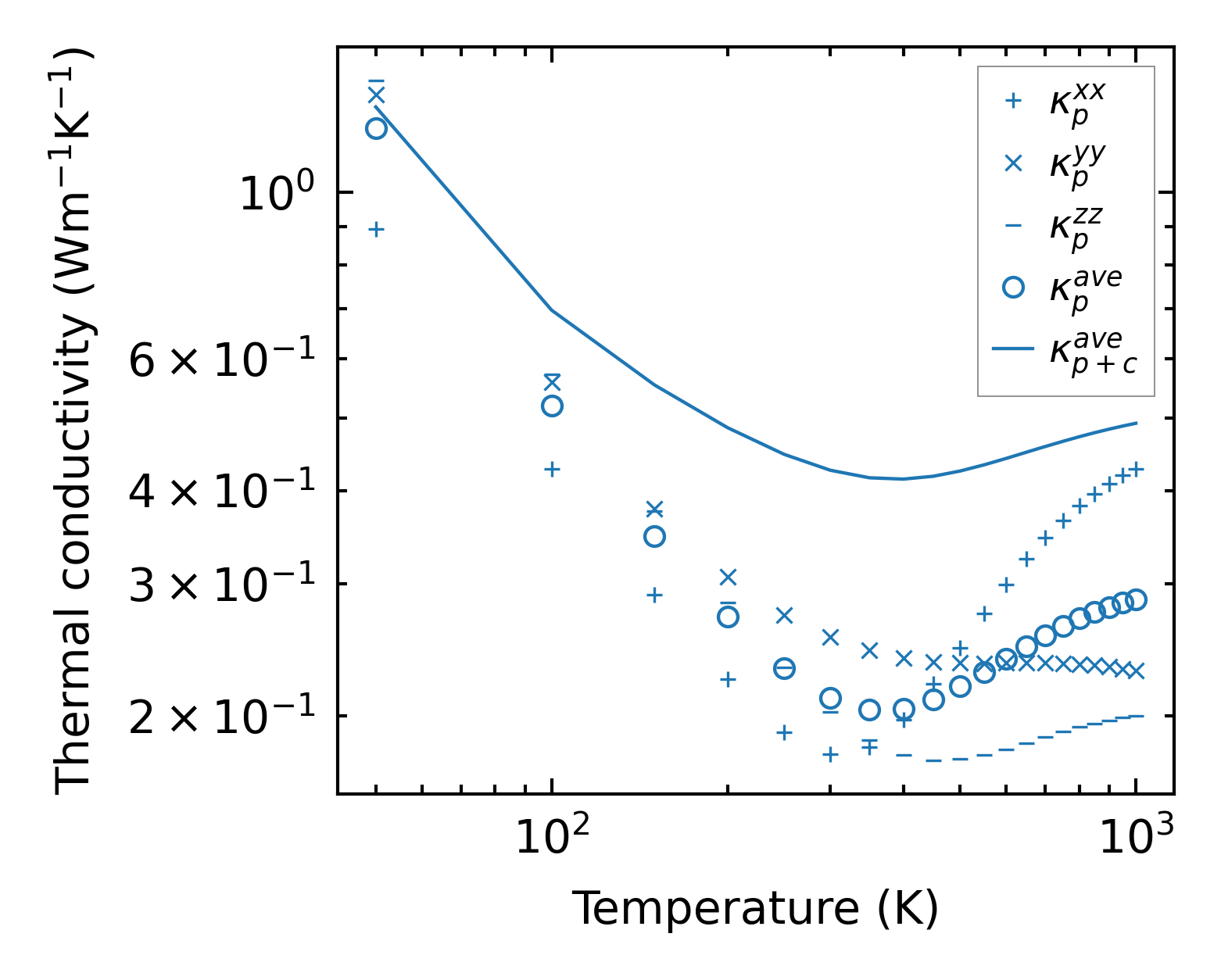
../../_images/fig_kappa4425.png

(a) Temperature-dependent lattice thermal conductivity

../../_images/fig_kappa_vs_grain_size2345.png

(b) Peierls lattice thermal conductivity w.r.t grain size

Phonon lifetime and scattering rates

../../_images/fig_lifetime2300.png

(a) Phonon lifetime due to phonon-phonon scattering

../../_images/fig_scat_rates2299.png

(b) Phonon scattering rates

Cumulative and spectral thermal conductivity

../../_images/fig_cumu_frequency2300.png

(a) Spectral and cumulative thermal conductivity w.r.t frequency

../../_images/fig_cumu_mfp2300.png

(b) Spectral and cumulative thermal conductivity w.r.t MFP

Force constants

../../_images/fig_fc25344.png

(a) Force constants w.r.t atomic distance

Summary

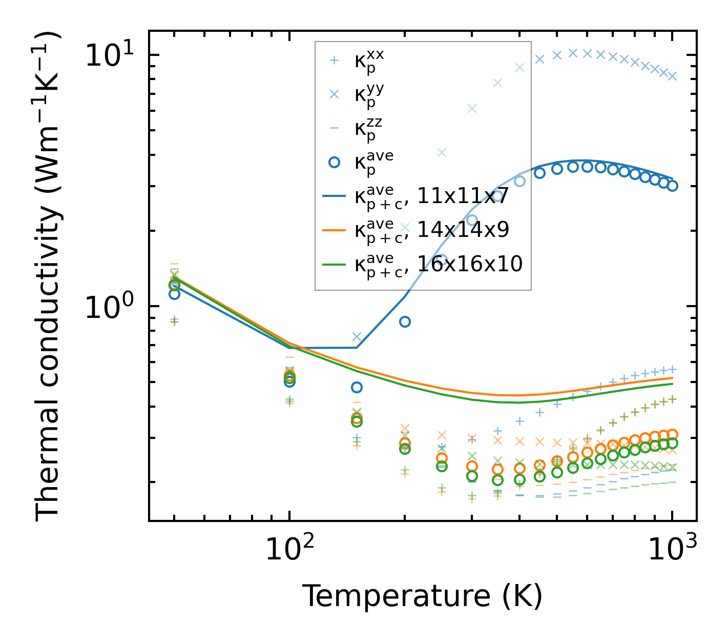
../../_images/fig_kappa4426.png

(a) Temperature-dependent lattice thermal conductivity

../../_images/fig_times10002.png

(b) Computation time