mp-643279/K2H6Pt/anharm

Harmonic properties

../../_images/fig_bandos_pr5491.png

(a) Phonon dispersion with participation ratio and DOS

../../_images/fig_thermo5491.png

(b) Thermodynamic properties

Grüneisen parameters

../../_images/fig_gru_all2287.png

(a) Grüneisen parameters

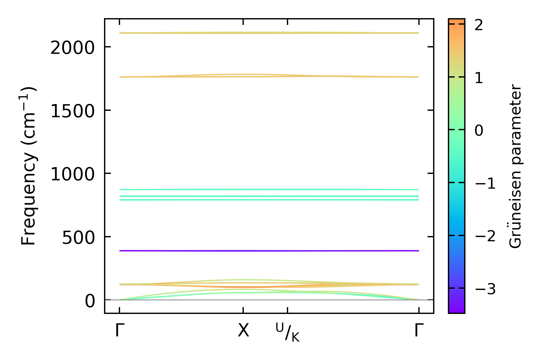
../../_images/fig_gruneisen2287.png

(b) Phonon dispersion with Grüneisen parameters

Thermal conductivity

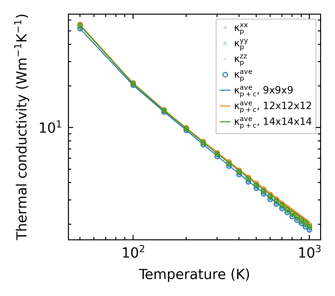
3-phonon — q-mesh: 14x14x14, supercell: 1x1x1

../../_images/fig_kappa4373.png

(a) Temperature-dependent lattice thermal conductivity

../../_images/fig_kappa_vs_grain_size2317.png

(b) Peierls lattice thermal conductivity w.r.t grain size

Phonon lifetime and scattering rates

../../_images/fig_lifetime2272.png

(a) Phonon lifetime due to phonon-phonon scattering

../../_images/fig_scat_rates2271.png

(b) Phonon scattering rates

Cumulative and spectral thermal conductivity

../../_images/fig_cumu_frequency2272.png

(a) Spectral and cumulative thermal conductivity w.r.t frequency

../../_images/fig_cumu_mfp2272.png

(b) Spectral and cumulative thermal conductivity w.r.t MFP

Force constants

../../_images/fig_fc3197.png

(a) Force constants w.r.t atomic distance

Summary

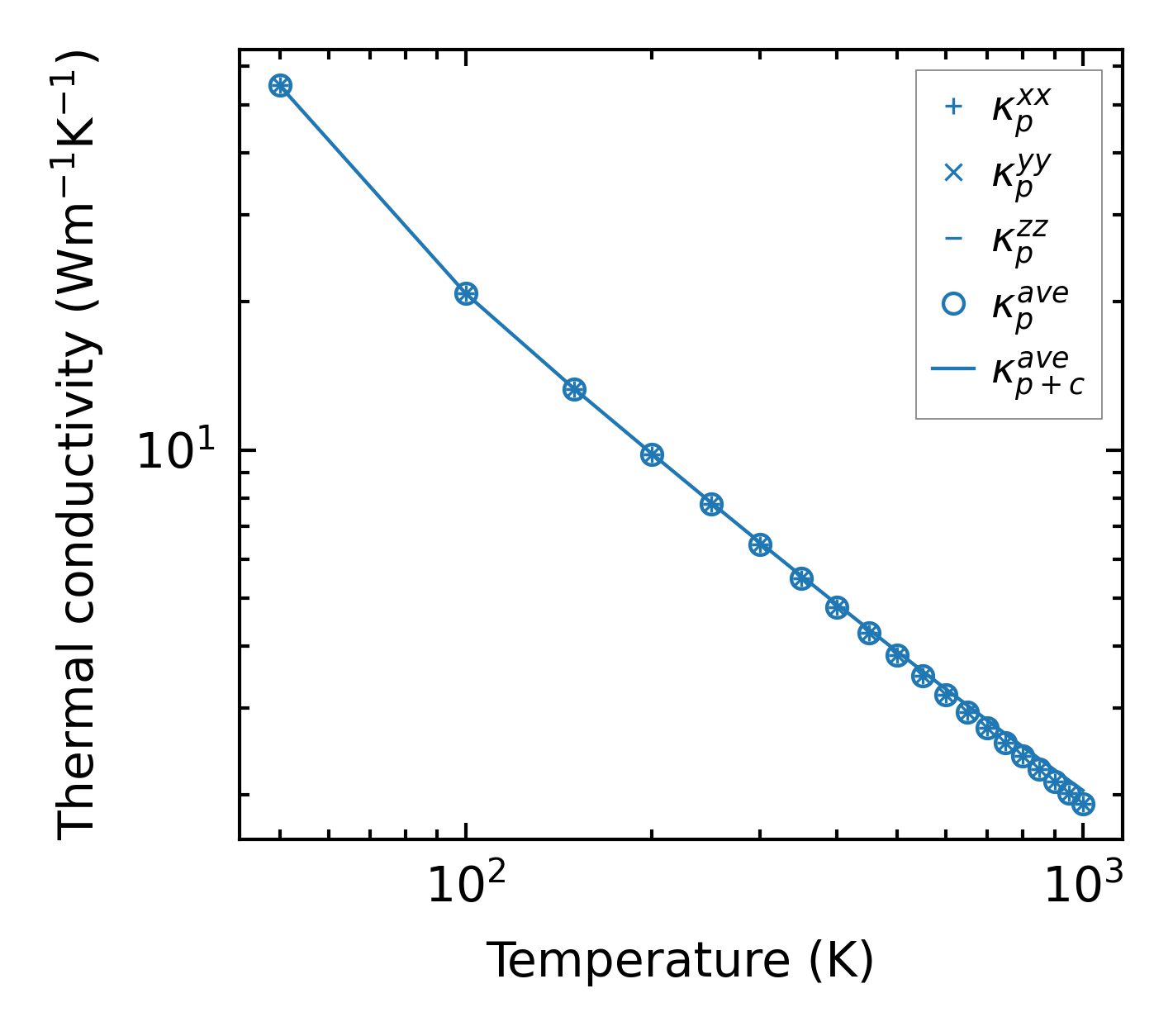
../../_images/fig_kappa4374.png

(a) Temperature-dependent lattice thermal conductivity

../../_images/fig_times9925.png

(b) Computation time