mp-643397/H8PdN2Cl6/harm

Equation of state

../../_images/fig_bm2680.png

(a) Equation of state

Harmonic properties

../../_images/fig_bandos_pr5504.png

(a) Phonon dispersion with participation ratio and DOS

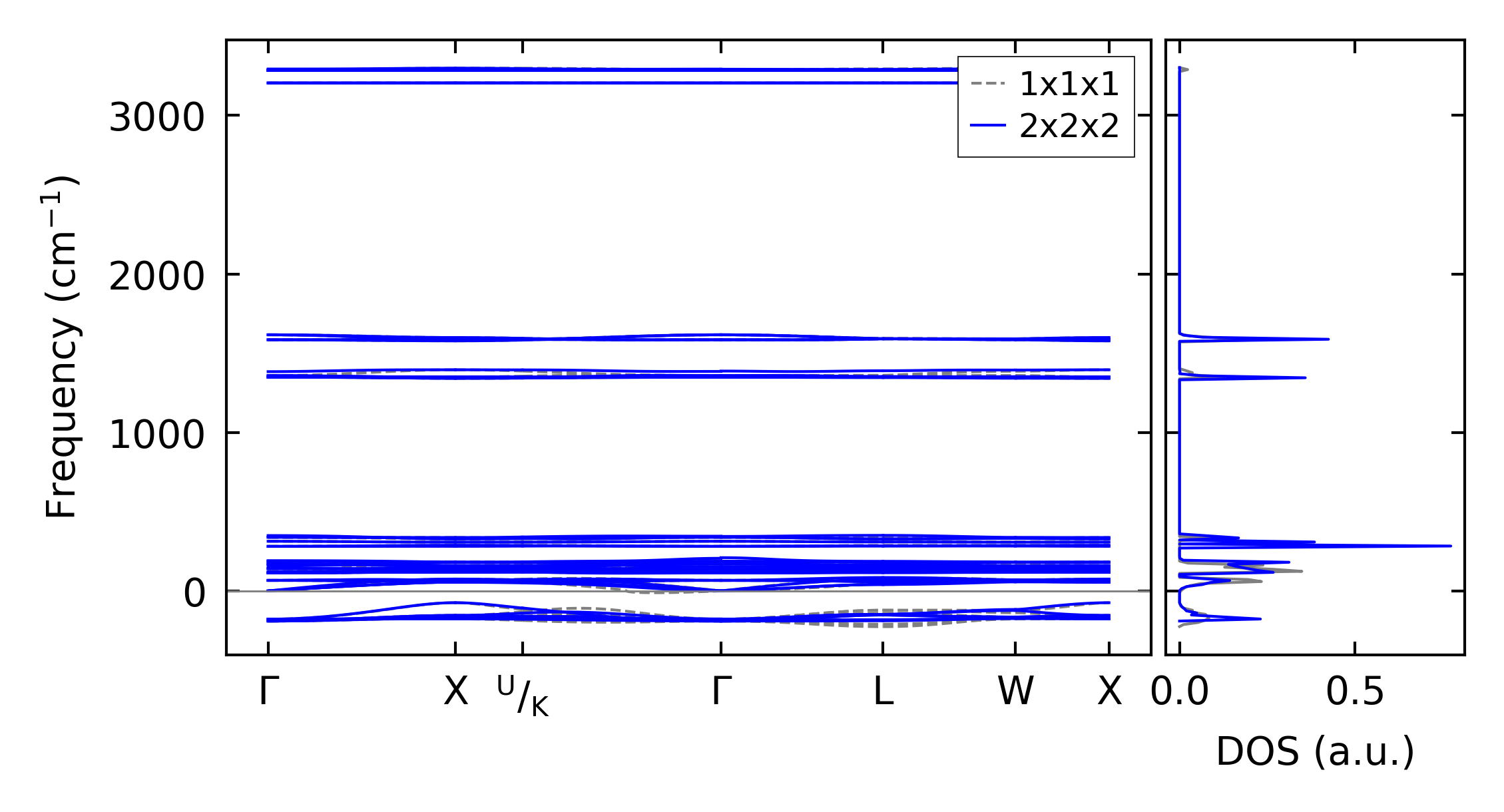
../../_images/fig_bandos7904.png

(b) Phonon dispersion and DOS

../../_images/fig_thermo5504.png

(c) Thermodynamic properties

Force constants

../../_images/fig_fc25306.png

(a) Force constants w.r.t atomic distance

Summary

../../_images/fig_times9944.png

(a) Computation time