mp-643446-2/Ca2AlH8S2ClO12F2/anharm

Equation of state

../../_images/fig_bm2682.png

(a) Equation of state

Harmonic properties

../../_images/fig_bandos_pr5508.png

(a) Phonon dispersion with participation ratio and DOS

../../_images/fig_bandos7910.png

(b) Phonon dispersion and DOS

../../_images/fig_thermo5508.png

(c) Thermodynamic properties

Grüneisen parameters

../../_images/fig_gru_all2294.png

(a) Grüneisen parameters

../../_images/fig_gruneisen2294.png

(b) Phonon dispersion with Grüneisen parameters

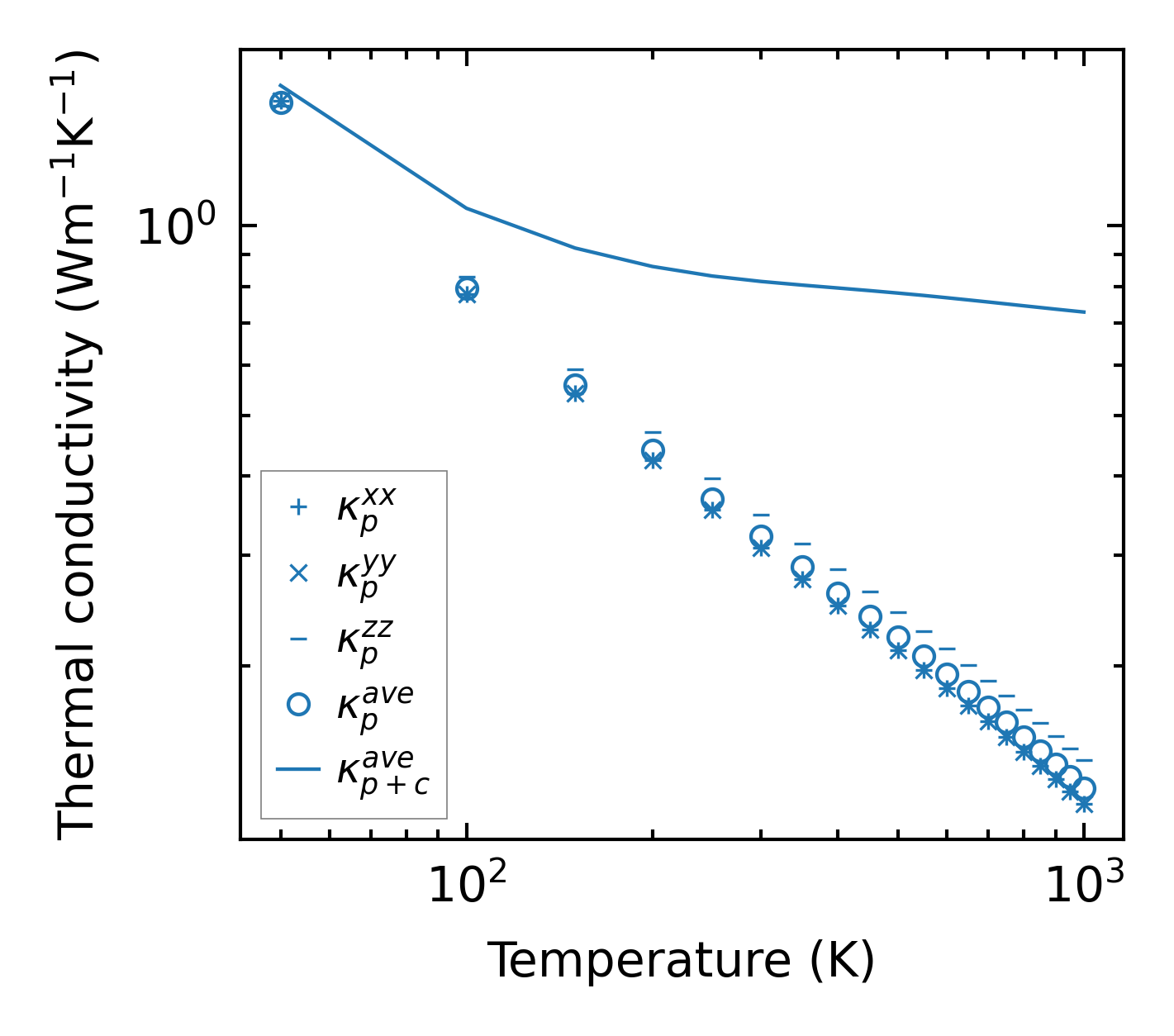
Thermal conductivity

3-phonon (LASSO), supercell 2x2x1 — q-mesh: 10x10x10, supercell: 2x2x1

../../_images/fig_kappa4386.png

(a) Temperature-dependent lattice thermal conductivity

../../_images/fig_kappa_vs_grain_size2324.png

(b) Peierls lattice thermal conductivity w.r.t grain size

Phonon lifetime and scattering rates

../../_images/fig_lifetime2279.png

(a) Phonon lifetime due to phonon-phonon scattering

../../_images/fig_scat_rates2278.png

(b) Phonon scattering rates

Cumulative and spectral thermal conductivity

../../_images/fig_cumu_frequency2279.png

(a) Spectral and cumulative thermal conductivity w.r.t frequency

../../_images/fig_cumu_mfp2279.png

(b) Spectral and cumulative thermal conductivity w.r.t MFP

Force constants

../../_images/fig_fc25310.png

(a) Force constants w.r.t atomic distance

Summary

../../_images/fig_times9950.png

(a) Computation time