mp-643371/K2SnH12N6/anharm

Harmonic properties

../../_images/fig_bandos_pr5499.png

(a) Phonon dispersion with participation ratio and DOS

../../_images/fig_thermo5499.png

(b) Thermodynamic properties

Grüneisen parameters

../../_images/fig_gru_all2291.png

(a) Grüneisen parameters

../../_images/fig_gruneisen2291.png

(b) Phonon dispersion with Grüneisen parameters

Thermal conductivity

3-phonon (LASSO) — q-mesh: 11x11x11, supercell: 1x1x1

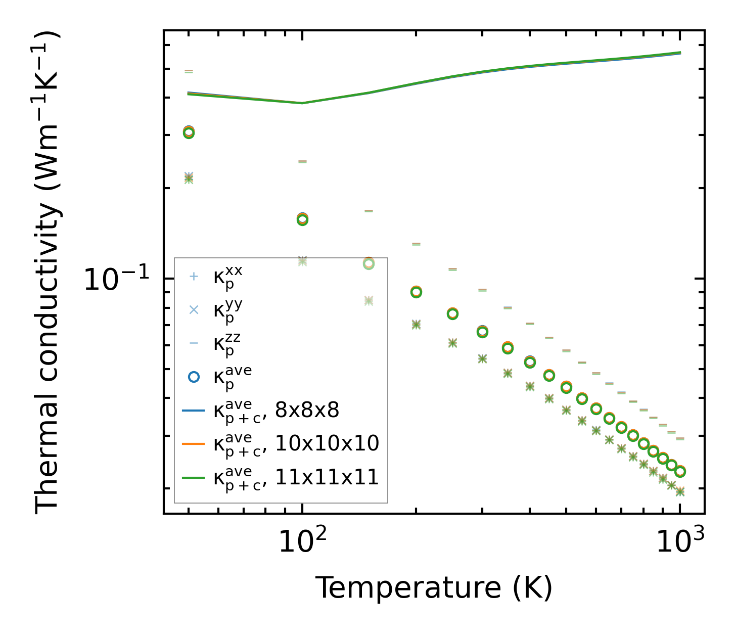
../../_images/fig_kappa4380.png

(a) Temperature-dependent lattice thermal conductivity

../../_images/fig_kappa_vs_grain_size2321.png

(b) Peierls lattice thermal conductivity w.r.t grain size

Phonon lifetime and scattering rates

../../_images/fig_lifetime2276.png

(a) Phonon lifetime due to phonon-phonon scattering

../../_images/fig_scat_rates2275.png

(b) Phonon scattering rates

Cumulative and spectral thermal conductivity

../../_images/fig_cumu_frequency2276.png

(a) Spectral and cumulative thermal conductivity w.r.t frequency

../../_images/fig_cumu_mfp2276.png

(b) Spectral and cumulative thermal conductivity w.r.t MFP

Force constants

../../_images/fig_fc25301.png

(a) Force constants w.r.t atomic distance

Summary

../../_images/fig_kappa4381.png

(a) Temperature-dependent lattice thermal conductivity

../../_images/fig_times9937.png

(b) Computation time