mp-643009/SrMgH4/anharm

Harmonic properties

../../_images/fig_bandos_pr5460.png

(a) Phonon dispersion with participation ratio and DOS

../../_images/fig_thermo5460.png

(b) Thermodynamic properties

Grüneisen parameters

../../_images/fig_gru_all2270.png

(a) Grüneisen parameters

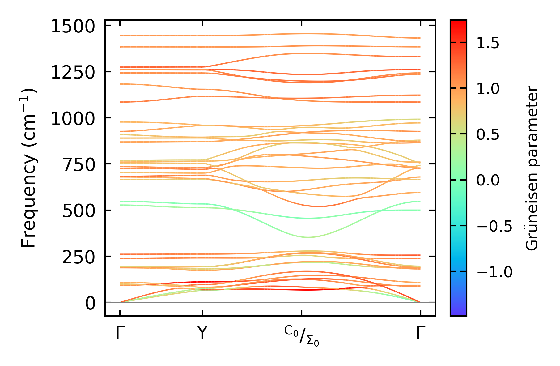
../../_images/fig_gruneisen2270.png

(b) Phonon dispersion with Grüneisen parameters

Thermal conductivity

3-phonon (LASSO) — q-mesh: 12x12x16, supercell: 3x1x2

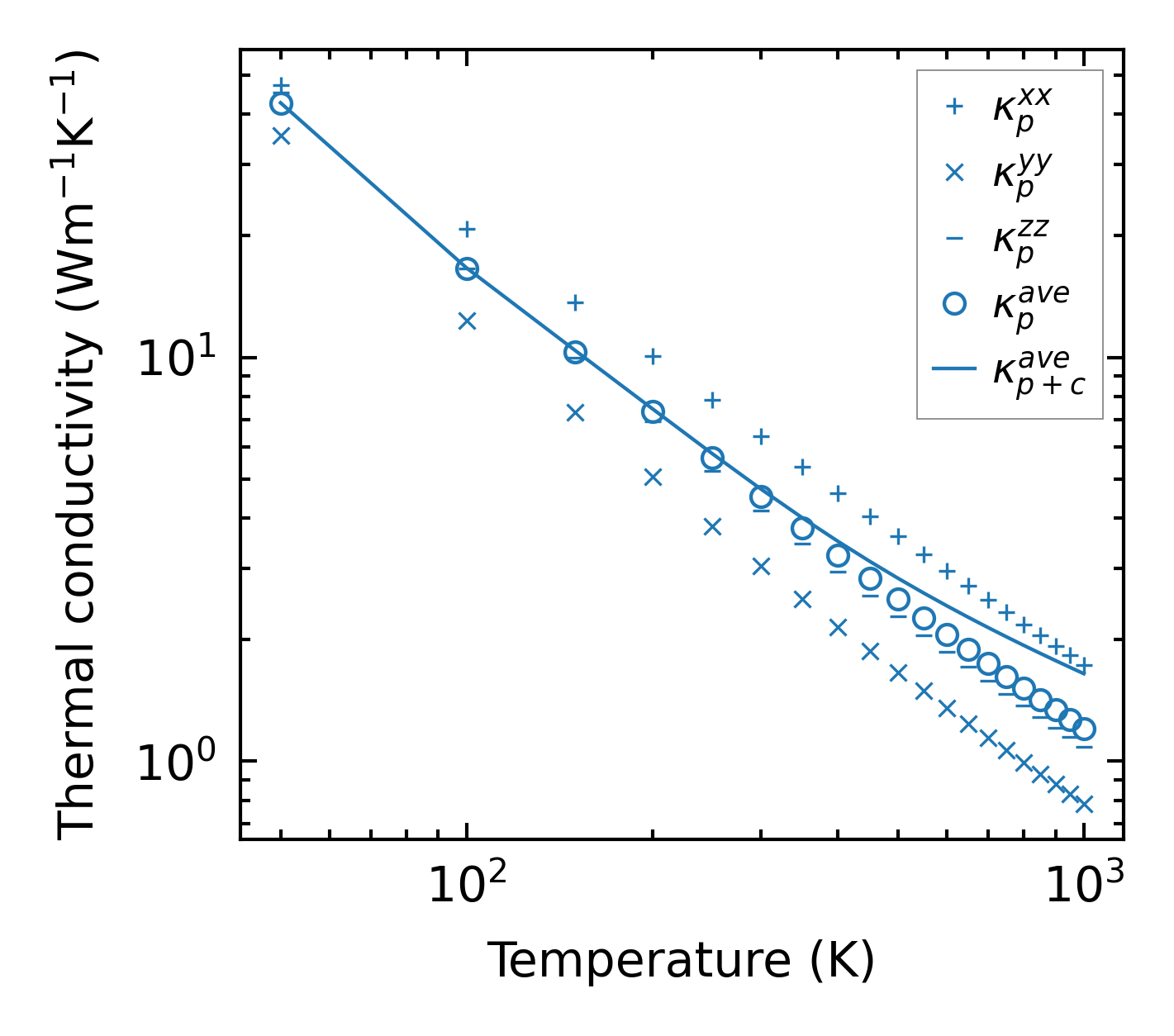
../../_images/fig_kappa4341.png

(a) Temperature-dependent lattice thermal conductivity

../../_images/fig_kappa_vs_grain_size2300.png

(b) Peierls lattice thermal conductivity w.r.t grain size

Phonon lifetime and scattering rates

../../_images/fig_lifetime2255.png

(a) Phonon lifetime due to phonon-phonon scattering

../../_images/fig_scat_rates2254.png

(b) Phonon scattering rates

Cumulative and spectral thermal conductivity

../../_images/fig_cumu_frequency2255.png

(a) Spectral and cumulative thermal conductivity w.r.t frequency

../../_images/fig_cumu_mfp2255.png

(b) Spectral and cumulative thermal conductivity w.r.t MFP

Force constants

../../_images/fig_fc25265.png

(a) Force constants w.r.t atomic distance

Summary

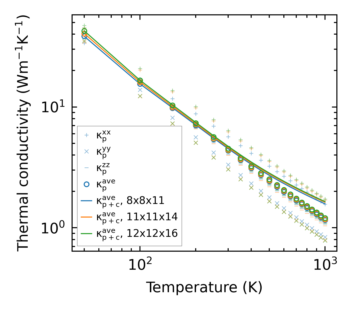
../../_images/fig_kappa4342.png

(a) Temperature-dependent lattice thermal conductivity

../../_images/fig_times9882.png

(b) Computation time