mp-643749/KCaF3/anharm

Harmonic properties

../../_images/fig_bandos_pr5528.png

(a) Phonon dispersion with participation ratio and DOS

../../_images/fig_thermo5528.png

(b) Thermodynamic properties

Grüneisen parameters

../../_images/fig_gru_all2308.png

(a) Grüneisen parameters

../../_images/fig_gruneisen2308.png

(b) Phonon dispersion with Grüneisen parameters

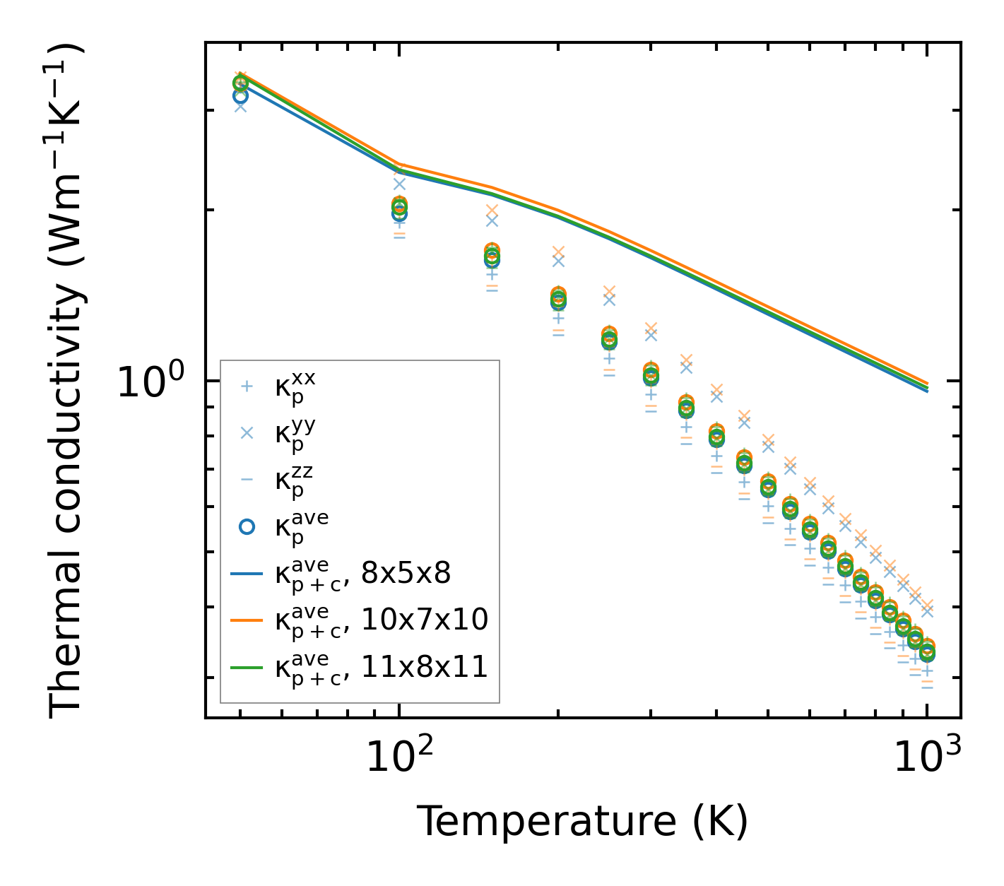
Thermal conductivity

3-phonon (LASSO) — q-mesh: 11x8x11, supercell: 2x1x2

../../_images/fig_kappa4412.png

(a) Temperature-dependent lattice thermal conductivity

../../_images/fig_kappa_vs_grain_size2338.png

(b) Peierls lattice thermal conductivity w.r.t grain size

Phonon lifetime and scattering rates

../../_images/fig_lifetime2293.png

(a) Phonon lifetime due to phonon-phonon scattering

../../_images/fig_scat_rates2292.png

(b) Phonon scattering rates

Cumulative and spectral thermal conductivity

../../_images/fig_cumu_frequency2293.png

(a) Spectral and cumulative thermal conductivity w.r.t frequency

../../_images/fig_cumu_mfp2293.png

(b) Spectral and cumulative thermal conductivity w.r.t MFP

Force constants

../../_images/fig_fc25330.png

(a) Force constants w.r.t atomic distance

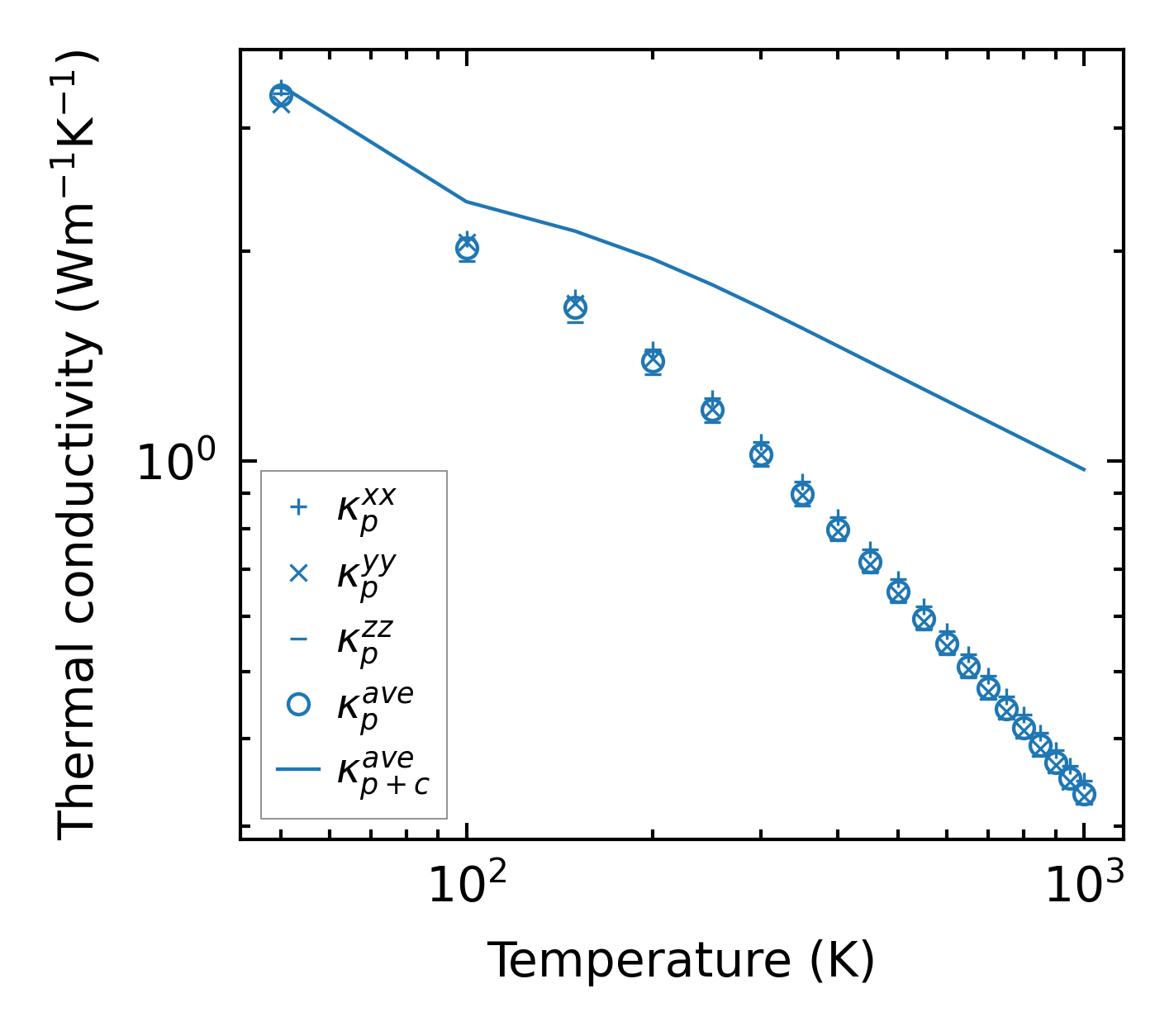
Summary

../../_images/fig_kappa4413.png

(a) Temperature-dependent lattice thermal conductivity

../../_images/fig_times9978.png

(b) Computation time